2020-08-28
HOME
BROWSE
ARKIVOC
ABOUT
ARKIVOC
SEARCH
ARKIVOC
CONFERENCES
FLOHET/OTHERS
MONTHLY
NEWSLETTER
DONATE
Browse ARKIVOC
Submit Your Paper
Instructions:
Papers, Accounts, Reviews
Templates:
Papers
Accounts, Reviews
Commemorative Issues:
Aims and Procedures
Regional Issues:
Aims and Procedures
We thank OAKWOOD CHEMICAL for their generous support of Arkivoc and the FloHet Conferences

BROWSE ARKIVOC


ARKIVOC Volume 2018
Part (ii): Commemorative Issue in Honor of Prof. Kenneth K. Laali on the occasion of his 65th anniversary
Facilitator: Toshikazu Kitagawa
Scientific Editor: Antigoni Kotali

1. A tribute to Prof. Kenneth Laali (KL-1472OT)
Toshikazu Kitagawa
DOI: https://doi.org/10.24820/ark.5550190.p001.472
Full Text: PDF (802K)
Export Citation: RIS
pp. 1 - 8
published Jan 31 2017;
2. Computational study of hydrido boronium dications and comparison with the isoelectronic carbon analogs (KL-10098OP)
Golam Rasul, George A. Olah and G. K. Surya Prakash
DOI: https://doi.org/10.24820/ark.5550190.p010.098
Full Text: PDF (525K)
Supplementary Material: PDF (126K)
Export Citation: RIS
pp. 9 - 16


received Mar 14 2017; accepted Jun 19 2017; published Jul 30 2017;
3. The intermolecular hydro-oxycarbonylation of internal alkynes: current state of the art (KL-10188OR)
Pedro José González-Liste, Javier Francos, Sergio Emilio García-Garrido and Victorio Cadierno,
DOI: https://doi.org/10.24820/ark.5550190.p010.188
Full Text: PDF (1,725K)
Export Citation: RIS
pp. 17 - 39


received May 23 2017; accepted Aug 3 2017; published Oct 4 2017;
4. Preparation, structure, and oxidative reactivity of (dichloroiodo)pyridines: recyclable hypervalent iodine reagents (KL-10279OP)
Akira Yoshimura, Khiem C. Nguyen, Victor N. Nemykin and Viktor V. Zhdankin
DOI: https://doi.org/10.24820/ark.5550190.p010.279
Full Text: PDF (275K)
Supplementary Material: PDF (266K)
Export Citation: RIS
pp. 40 - 49


received Jul 26 2017; accepted Sep 22 2017; published Oct 11 2017;
5. Ring-closure reaction of 2-benzoylbenzenediazonium salts in 1-butyl-3-methylimidazolium ionic liquids (KL-10195OP)
Takao Okazaki, Hiroyuki Yamamoto and Toshikazu Kitagawa
DOI: https://doi.org/10.24820/ark.5550190.p010.195
Full Text: PDF (194K)
Supplementary Material: PDF (50K)
Export Citation: RIS
pp. 50 - 59


received May 29 2017; accepted Aug 11 2017; published Oct 12 2017;
6. Promotional effect of ionic liquids in electrophilic fluorination of phenols (KL-10164OP)
Gennady I. Borodkin, Innokenty R. Elanov and Vyacheslav G. Shubin
DOI: https://doi.org/10.24820/ark.5550190.p010.164
Full Text: PDF (280K)
Export Citation: RIS
pp. 60 - 71


received May 10 2017; accepted Jun 28 2017; published Oct 15 2017;
7. Metal-free synthesis of α,α-difluorocyclopentanone derivatives via regioselective difluorocyclopropanation/VCP rearrangement of silyl dienol ethers (KL-10290OP)
Ryo Takayama, Kohei Fuchibe and Junji Ichikawa
DOI: https://doi.org/10.24820/ark.5550190.p010.290
Full Text: PDF (1,041K)
Supplementary Material: PDF (3,091K)
Export Citation: RIS
pp. 72 - 80


received Aug 1 2017; accepted Aug 20 2017; published Oct 29 2017;
8. Brønsted acid-catalyzed metal-free one-pot synthesis of benzimidazoles via [4+1] heteroannulation of ortho-phenylenediamines with β-oxodithioesters (KL-10069OP)
Abhijeet Srivastava, Gaurav Shukla, Dhananjay Yadav and Maya Shankar Singh
DOI: https://doi.org/10.24820/ark.5550190.p010.069
Full Text: PDF (252K)
Supplementary Material: PDF (608K)
Export Citation: RIS
pp. 81 - 89


received Feb 21 2017; accepted Aug 27 2017; published Oct 29 2017;
9. Octa- and nona-hydridosiliconium di- and tri-cations (SiH82+ and SiH93+) containing eight- and nine-coordinate silicon atoms (KL-10330OP)
Golam Rasul and G. K. Surya Prakash
DOI: https://doi.org/10.24820/ark.5550190.p010.330
Full Text: PDF (855K)
Export Citation: RIS
pp. 90 - 96


received Sep 11 2017; accepted Oct 17 2017; published Nov 4 2017;
10. Generation and reactions of thiirenium ions by the Cation Pool method (KL-10302OP)
Akihiro Shimizu, Shun Horiuchi, Ryutaro Hayashi, Kouichi Matsumoto, Yu Miyamoto, Yusuke Morisawa, Tomonari Wakabayashi and Jun-ichi Yoshida
DOI: https://doi.org/10.24820/ark.5550190.p010.302
Full Text: PDF (745K)
Supplementary Material: PDF (1,484K)
Export Citation: RIS
pp. 97 - 113


received Aug 13 2017; accepted Oct 28 2017; published Nov 5 2017;
11. Computational study on the role of residue Arg166 in alkaline phosphatases (KL-10198OP)
Gabriela L. Borosky
DOI: https://doi.org/10.24820/ark.5550190.p010.198
Full Text: PDF (2,095K)
Export Citation: RIS
pp. 114 - 121


received May 31 2017; accepted Oct 17 2017; published Nov 5 2017;
12. Environmentally benign, microwave-assisted chemoselective N-hydroxyalkylation of indoles with trifluoroacetaldehyde methyl hemiacetal (KL-10286OP)
Christian Schäfer, Clifford J. Ellstrom, Abha Sood, Judith Alonzo, Shainaz M. Landge Chris D. Tran and Béla Török
DOI: https://doi.org/10.24820/ark.5550190.p010.286
Full Text: PDF (196K)
Export Citation: RIS
pp. 122 - 130


received Jul 31 2017; accepted Oct 27 2017; published Nov 5 2017;
13. Tuning the coverage of self-assembled monolayer by introducing bulky substituents onto rigid adamantane tripod (KL-10356OP)
Toshikazu Kitagawa, Shima Nakanishi, Aya Mizuno, Yohei Niwa, Hiroaki Tabata, Katsuyuki Hirai and Takao Okazaki
DOI: https://doi.org/10.24820/ark.5550190.p010.356
Full Text: PDF (1,495K)
Supplementary Material: PDF (2,258K)
Export Citation: RIS
pp. 131 - 144


received Oct 8 2017; accepted Oct 27 2017; published Nov 12 2017;
14. Cyanine–cyanine hybrid structure as a stabilized polyelectrochromic system: synthesis, stabilities, and redox behavior of di(1-azulenyl)methylium units connected with electron-accepting π-electron systems (KL-10163OP)
Shunji Ito, Ryuta Sekiguchi, Akira Mizushima, Kohei Kudo, Jun Kawakami and Taku Shoji
DOI: https://doi.org/10.24820/ark.5550190.p010.163
Full Text: PDF (2,187K)
Supplementary Material: PDF (23,515K)
Export Citation: RIS
pp. 145 - 169


received May 10 2017; accepted Sep 23 2017; published Nov 26 2017;
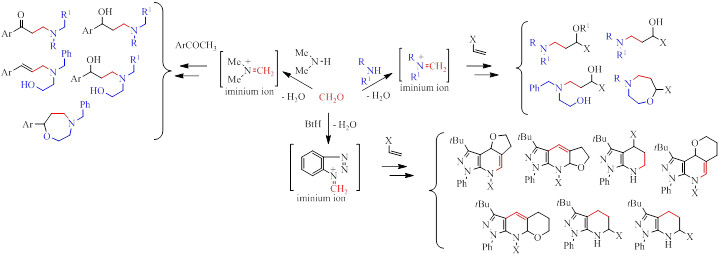
15. Recent contributions to the Diversity-Oriented Synthesis (DOS) mediated by iminium ions through multicomponent Mannich-type reactions (KL-10284OU)
Rodrigo Abonia and Juan C. Castillo
DOI: https://doi.org/10.24820/ark.5550190.p010.284
Full Text: PDF (1,206K)
Export Citation: RIS
pp. 170 - 191


received Jul 30 2017; accepted Sep 22 2017; published Nov 29 2017;
16. Photochemical [2+2] cycloaddition reaction of enone derivatives with 2-silyloxy-1H-pyrrole derivatives (KL-10306OP)
Jianfei Xue, Ryukichi Takagi and Manabu Abe
DOI: https://doi.org/10.24820/ark.5550190.p010.306
Full Text: PDF (3,107K)
Supplementary Material: PDF (4,440K)
Export Citation: RIS
pp. 192 - 204


received Aug 18 2017; accepted Oct 31 2017; published Dec 3 2017;
17. Reaction of trihaloisocyanuric acids with alkynes: an efficient methodology for preparation of β-haloenol acetates (KL-10211OP)
Livia T. C. Crespo, Geisa P. Nogueira, Marcio C. S. de Mattos and Pierre Mothe Esteves
DOI: https://doi.org/10.24820/ark.5550190.p010.211
Full Text: PDF (268K)
Supplementary Material: PDF (4,066K)
Export Citation: RIS
pp. 205 - 214


received Jun 7 2017; accepted Oct 31 2017; published Dec 3 2017;
18. Superelectrophiles in ring-forming reactions (KL-10270OR)
Douglas A. Klumpp and Sean Kennedy
DOI: https://doi.org/10.24820/ark.5550190.p010.270
Full Text: PDF (495K)
Export Citation: RIS
pp. 215 - 232


received Jul 20 2017; accepted Oct 27 2017; published Dec 11 2017;
19. Ab initio structural studies of cyclobutylmethyl cations: effect of fluoroalkyl groups on the relative stability of the carbocations (KL-10313OP)
V. Prakash Reddy, Golam Rasul and G. K. Surya Prakash
DOI: https://doi.org/10.24820/ark.5550190.p010.313
Full Text: PDF (287K)
Supplementary Material: PDF (815K)
Export Citation: RIS
pp. 233 - 240


received Aug 24 2017; accepted Nov 30 2017; published Dec 11 2017;
20. Reduction of phenylacetylenes using Raney Ni–Al alloy, Al powder in the presence of noble metal catalysts in water (KL-10277OP)
Ummey Rayhan, Zannatul Kowser, Md. Nurul Islam, Carl Redshaw and Takehiko Yamato
DOI: https://doi.org/10.24820/ark.5550190.p010.277
Full Text: PDF (274K)
Supplementary Material: PDF (111K)
Export Citation: RIS
pp. 241 - 251


received Jul 26 2017; accepted Nov 29 2017; published Dec 13 2017;
21. When nucleoside chemistry met hypervalent iodine reagents (KL-10281OR)
Mahesh K. Lakshman and Barbara Zajc
DOI: https://doi.org/10.24820/ark.5550190.p010.281
Full Text: PDF (1,428K)
Export Citation: RIS
pp. 252 - 279


received Jul 28 2017; accepted Oct 22 2017; published Dec 21 2017;
22. Synthesis and application of a novel bis-1,2,3-triazole ligand containing a 2,2'-bipyrrolidine core (KL-10320OP)
Stephen E. Motika and Xiaodong Shi
DOI: https://doi.org/10.24820/ark.5550190.p010.320
Full Text: PDF (259K)
Supplementary Material: PDF (906K)
Export Citation: RIS
pp. 280 - 287


received Aug 28 2017; accepted Dec 15 2017; published Jan 28 2018;
23. Alcohols in direct carbon-carbon and carbon-heteroatom bond-forming reactions: recent advances (KL-10237OR)
Njomza Ajvazi and Stojan Stavber
DOI: https://doi.org/10.24820/ark.5550190.p010.237
Full Text: PDF (670K)
Supplementary Material: PDF (650K)
Export Citation: RIS
pp. 288 - 329


received Jun 26 2017; accepted Dec 13 2017; published Feb 5 2018;
24. Synthesis and structures of zwitterionic polymers to induce electrostatic interaction with PDMS surface treated by air-plasma (KL-10321OP)
Mutsuo Tanaka, Yoshiki Hirata, Takahiro Sawaguchi and Shigeru Kurosawa
DOI: https://doi.org/10.24820/ark.5550190.p010.321
Full Text: PDF (736K)
Export Citation: RIS
pp. 330 - 343


received Aug 28 2017; accepted Jan 30 2018; published Mar 4 2018;


CLOCKSS system has permission to ingest, preserve, and serve this Archival Unit
LOCKSS system has permission to collect, preserve, and serve this Archival Unit

Let's Encrypt Trusted Site Seal