2020-08-28
HOME
BROWSE
ARKIVOC
ABOUT
ARKIVOC
SEARCH
ARKIVOC
CONFERENCES
FLOHET/OTHERS
MONTHLY
NEWSLETTER
DONATE
Browse ARKIVOC
Submit Your Paper
Instructions:
Papers, Accounts, Reviews
Templates:
Papers
Accounts, Reviews
Commemorative Issues:
Aims and Procedures
Regional Issues:
Aims and Procedures
We thank OAKWOOD CHEMICAL for their generous support of Arkivoc and the FloHet Conferences

BROWSE ARKIVOC


ARKIVOC Volume 2014
Part (iii): Commemorative Issue in Honor of Prof. Pierre Vogel on the occasion of his 70th anniversary
Facilitators: Reinhard Neier and Jean-Louis Reymond
Scientific Editor: Jacques Royer

Graphical Abstracts PDF (614K)
1. A tribute to Prof. Pierre Vogel (PV-1464VT)
Reinhard Neier and Jean-Louis Reymond
DOI: https://doi.org/10.3998/ark.5550190.0015.301
Full Text: PDF (98K)
Export Citation: RIS
pp. 1 - 5
published May 11 2013;
2. Unexpected ring contraction of 1-aryl-cyclohexa-2,5-dienes under palladium catalysis (PV-8241VP)
Raphaël Lebeuf, Frédéric Robert and Yannick Landais
DOI: https://doi.org/10.3998/ark.5550190.p008.241
Full Text: PDF (198K)
Export Citation: RIS
pp. 6 - 17


received May 30 2013; accepted Aug 6 2013; published Aug 31 2013;
3. Iodine-mediated one-pot synthesis of indoles and 3-dimethylaminoindoles via annulation of enaminones (PV-8138VP)
Alberto V. Jerezano, Ehecatl M. Labarrios, Fabiola E. Jiménez, María del Carmen Cruz, Diana C. Pazos, Rsuini U. Gutiérrez, Francisco Delgado and Joaquín Tamariz
DOI: https://doi.org/10.3998/ark.5550190.p008.138
Full Text: PDF (431K)
Export Citation: RIS
pp. 18 - 53


received Apr 13 2013; accepted Jun 14 2013; published Aug 31 2013;
4. Synthesis of novel enantiopure ionic liquids from (S)-malic acid (PV-8210VP)
Marco Bonanni, Massimo Manuelli, Andrea Goti, Cristina Faggi and Francesca Cardona
DOI: https://doi.org/10.3998/ark.5550190.p008.210
Full Text: PDF (139K)
Export Citation: RIS
pp. 54 - 64


received May 17 2013; accepted Jul 14 2013; published Sep 27 2013;
5. Stereoselective synthesis and sialidase inhibition properties of KDO-based glycosyloxathiins (PV-8395VP)
Barbara Richichi, Jennifer McKimm-Breschkin, Veronica Baldoneschi and Cristina Nativi
DOI: https://doi.org/10.3998/ark.5550190.p008.395
Full Text: PDF (147K)
Supplementary Material: PDF (2,263K)
Export Citation: RIS
pp. 65 - 79


received Aug 28 2013; accepted Oct 13 2013; published Nov 6 2013;
6. Chiral methyl trans-2,2-dichloro-3-methylcyclopropanecarboxylate upon exposure to thiophenolate nucleophile (PV-8380VP)
Vitaly N. Kovalenko
DOI: https://doi.org/10.3998/ark.5550190.p008.380
Full Text: PDF (253K)
Supplementary Material: PDF (1,325K)
Export Citation: RIS
pp. 80 - 89


received Aug 17 2013; accepted Oct 9 2013; published Nov 6 2013;
7. Synthesis of 1,2,3-triazole-linked galactohybrids and their inhibitory activities on galectins (PV-8402VP)
Jevgeņija Mackeviča, Pāvels Ostrovskis, Hakon Leffler, Ulf J. Nilsson, Vita Rudovica, Arturs Viksna, Sergey Belyakov and Māris Turks
DOI: https://doi.org/10.3998/ark.5550190.p008.402
Full Text: PDF (320K)
Export Citation: RIS
pp. 90 - 112


received Sep 1 2013; accepted Oct 18 2013; published Jan 14 2014;
8. Stereoselective synthesis and structure determination of a bicyclo[3.3.2]decapeptide (PV-8500VP)
Marco Bartoloni, Sandro Waltersperger, Mario Bumann, Achim Stocker, Tamis Darbre and Jean-Louis Reymond
DOI: https://doi.org/10.3998/ark.5550190.p008.500
Full Text: PDF (593K)
Supplementary Material: PDF (351K)
Export Citation: RIS
pp. 113 - 123


received Oct 31 2013; accepted Nov 29 2013; published Jan 14 2014;
9. Protecting-group directed stereospecific organocatalytic [3+2] cycloadditions: a facile access to chiral spirocyclic oxindoles (PV-8401VP)
Bin Tan, Xuan Zhang and Guofu Zhong
DOI: https://doi.org/10.3998/ark.5550190.p008.401
Full Text: PDF (832K)
Supplementary Material: PDF (5,315K)
Export Citation: RIS
pp. 124 - 142


received Sep 1 2013; accepted Nov 22 2013; published Jan 14 2014;
10. The use of carbonyl group anisotropy effect in determination of the relative configuration of carbapenams (PV-8450VP)
Olga Staszewska-Krajewska, Wojciech Bocian, Magdalena Maciejko, Piotr Szcześniak, Krzysztof Szymczak, Marek Chmielewski and Bartłomiej Furman
DOI: https://doi.org/10.3998/ark.5550190.p008.450
Full Text: PDF (1,117K)
Supplementary Material: PDF (289K)
Export Citation: RIS
pp. 143 - 153


received Sep 30 2013; accepted Nov 8 2013; published Jan 14 2014;
11. Synthesis of functionalized pyridinium salts bearing a free amino group (PV-8398VP)
Johanna Auth, Pablo Mauleón and Andreas Pfaltz
DOI: https://doi.org/10.3998/ark.5550190.p008.398
Full Text: PDF (617K)
Export Citation: RIS
pp. 154 - 169


received Aug 30 2013; accepted Oct 9 2013; published Jan 17 2014;
12. Distortion/interaction analysis of the reactivities and selectivities of halo– and methoxy–substituted carbenes with alkenes (PV-8408VP)
C. Avery Sader and K. N. Houk
DOI: https://doi.org/10.3998/ark.5550190.p008.408
Full Text: PDF (1,443K)
Export Citation: RIS
pp. 170 - 183


received Sep 4 2013; accepted Nov 1 2013; published Feb 19 2014;
13. Influence of solvents and catalysts on the formation and hydrolysis of polyfunctional enoxysilanes derived from aucubin (PV-8499VP)
Christelle Lemus, Michel Koch, Sylvie Michel and Brigitte Deguin
DOI: https://doi.org/10.3998/ark.5550190.p008.499
Full Text: PDF (540K)
Export Citation: RIS
pp. 184 - 196


received Oct 31 2013; accepted Jan 18 2014; published Feb 19 2014;
14. Synthesis and cancer growth inhibitory activities of 2-fatty-alkylated pyrrolidine-3,4-diol derivatives (PV-8492VP)
Pilar Elías-Rodríguez, Elena Moreno-Clavijo, Sebastián Carrión-Jiménez, Ana T. Carmona, Antonio J. Moreno-Vargas, Irene Caffa, Fabrizio Montecucco, Michele Cea, Alessio Nencioni and Inmaculada Robina
DOI: https://doi.org/10.3998/ark.5550190.p008.492
Full Text: PDF (1,059K)
Export Citation: RIS
pp. 197 - 214


received Oct 28 2013; accepted Jan 11 2014; published Feb 19 2014;
15. Synthesis of biotin and fluorescein labeled (–)-lentiginosine (PV-8495VP)
Franca M. Cordero, Carolina Vurchio, Beatrice Macchi, Antonella Minutolo and Alberto Brandi
DOI: https://doi.org/10.3998/ark.5550190.p008.495
Full Text: PDF (702K)
Export Citation: RIS
pp. 215 - 227


received Oct 29 2013; accepted Jan 18 2014; published Feb 19 2014;
16. Study of the stability of the 5-aminolevulinic acid tyrosine ester in aqueous solution (PV-8469VP)
Sandrine Gay, Carla Martoccia, Matthieu Zellweger, Qian Wang and Georges Wagnières
DOI: https://doi.org/10.3998/ark.5550190.p008.469
Full Text: PDF (888K)
Export Citation: RIS
pp. 228 - 238


received Oct 14 2013; accepted Jan 11 2014; published Feb 25 2014;
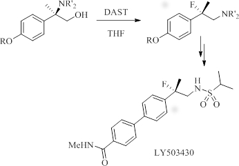
17. Synthesis of LY503430 by using a selective rearrangement of β-amino alcohols induced by DAST (PV-8252VP)
Béranger Duthion, Domingo Gomez Pardo and Janine Cossy
DOI: https://doi.org/10.3998/ark.5550190.p008.252
Full Text: PDF (1,086K)
Export Citation: RIS
pp. 239 - 255


received Jun 6 2013; accepted Aug 23 2013; published Feb 25 2014;
18. Preparation of precursors for the synthesis of analogues of rhazinilam (PV-8497VP)
Inga Kholod, Olivier Vallat, Ana-Maria Buciumas and Reinhard Neier
DOI: https://doi.org/10.3998/ark.5550190.p008.497
Full Text: PDF (939K)
Export Citation: RIS
pp. 256 - 273


received Oct 30 2013; accepted Jan 1 2014; published Apr 26 2014;
19. Radical chain reactions involving 9-alkyl-9-borafluorenes (PV-8548VP)
Ioulia Gorokhovik, Samuel Rieder, Guillaume Povie and Philippe Renaud
DOI: https://doi.org/10.3998/ark.5550190.p008.548
Full Text: PDF (500K)
Export Citation: RIS
pp. 274 - 286


received Dec 6 2013; accepted Jan 1 2014; published Apr 26 2014;
20. Two-fold tandem acyl-group shift/cyclization via gold catalysis (PV-8509VP)
Antoine Simonneau, Giovanni Maestri, Louis Fensterbank and Max Malacria
DOI: https://doi.org/10.3998/ark.5550190.p008.509
Full Text: PDF (589K)
Export Citation: RIS
pp. 287 - 296


received Nov 7 2013; accepted Jan 1 2014; published Apr 26 2014;


CLOCKSS system has permission to ingest, preserve, and serve this Archival Unit
LOCKSS system has permission to collect, preserve, and serve this Archival Unit

Let's Encrypt Trusted Site Seal