2020-08-28
HOME
BROWSE
ARKIVOC
ABOUT
ARKIVOC
SEARCH
ARKIVOC
CONFERENCES
FLOHET/OTHERS
MONTHLY
NEWSLETTER
DONATE
Browse ARKIVOC
Submit Your Paper
Instructions:
Papers, Accounts, Reviews
Templates:
Papers
Accounts, Reviews
Commemorative Issues:
Aims and Procedures
Regional Issues:
Aims and Procedures
We thank OAKWOOD CHEMICAL for their generous support of Arkivoc and the FloHet Conferences

BROWSE ARKIVOC


ARKIVOC Volume 2009
Part (vi): Commemorative Issue in Honor of Prof. Henk C. van der Plas on the occasion of his 80th anniversary
Facilitator: Bert Maes
Scientific Editor: Hiriyakkanavar Ila

Graphical Abstracts PDF (895K)
1. A Tribute to Prof. Henk C. van der Plas (HP-1440MT)
DOI: https://doi.org/10.3998/ark.5550190.0010.601
Full Text: PDF (111K)
Export Citation: RIS
pp. 1 - 3
published Sep 21 2008;
2. A high yielding oxidation method for the preparation of substituted 2,3-dihydro-4-pyridones from 4-piperidones (HP-3224MP)
Andrew C. Flick and Albert Padwa
DOI: https://doi.org/10.3998/ark.5550190.0010.602
Full Text: PDF (260K)
Export Citation: RIS
pp. 4 - 14


received May 10 2008; accepted Jul 22 2008; published Oct 2 2008;
3. Substituent effects on the mechanism changeover in a multi-pathway reaction: a model for the behavior of biological systems? (HP-3077MP)
Francesca D’Anna, Vincenzo Frenna, Susanna Guernelli, Gabriella Macaluso, Giovanni Petrillo, Egon Rizzato and Domenico Spinelli
DOI: https://doi.org/10.3998/ark.5550190.0010.603
Full Text: PDF (282K)
Export Citation: RIS
pp. 15 - 29


received Feb 29 2008; accepted Oct 14 2008; published Nov 1 2008;
4. Ring opening and ring expansion of 8-cyano-tetrazolo[1,5-a]pyridine with secondary amines. Reactions of azides, tetrazoles and nitrenes with nucleophiles, Part 2 (HP-3437MP)
Chris Addicott, Paul V. Bernhardt and Curt Wentrup
DOI: https://doi.org/10.3998/ark.5550190.0010.604
Full Text: PDF (300K)
Export Citation: RIS
pp. 30 - 37


received Aug 15 2008; accepted Dec 18 2008; published Jan 4 2009;
5. Synthesis of tetra- and pentacyclic carbazole-fused imides as potential antitumor agents (HP-3442MP)
Norbert Haider, Rami Jbara, Johann Käferböck and Ursula Traar
DOI: https://doi.org/10.3998/ark.5550190.0010.605
Full Text: PDF (267K)
Export Citation: RIS
pp. 38 - 47


received Aug 19 2008; accepted Dec 25 2008; published Jan 9 2009;
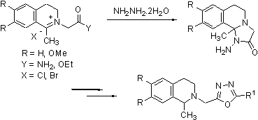
6. Synthesis and reactions of 1-amino-1,5,6,10b-tetrahydroimidazo[2,1-a]isoquinolin-2(3H)-ones (HP-3499MP)
Joana Solovjova, Vytas Martynaitis, Wolfgang Holzer, Sven Mangelinckx, Norbert De Kimpe and Algirdas Šačkus
DOI: https://doi.org/10.3998/ark.5550190.0010.606
Full Text: PDF (323K)
Export Citation: RIS
pp. 48 - 62


received Sep 10 2008; accepted Dec 25 2008; published Jan 16 2009;
7. Synthesis of 5-aryl-1-carboxyphenyl-3-(3-coumarinyl)-2-pyrazolines (HP-3695HP)
Albert Lévai and József Jekő
DOI: https://doi.org/10.3998/ark.5550190.0010.607
Full Text: PDF (230K)
Export Citation: RIS
pp. 63 - 70


received Dec 6 2008; accepted Jan 16 2009; published Jan 27 2009;
8. A first approach to 2,2’-bipyridine thiacrown ethers containing bisamide groups (HP-3465HP)
Danuta Branowska, Justyna Ławecka, Waldemar Wysocki and Andrzej Rykowski
DOI: https://doi.org/10.3998/ark.5550190.0010.608
Full Text: PDF (657K)
Export Citation: RIS
pp. 71 - 77


received Aug 28 2008; accepted Jan 18 2009; published Jan 30 2009;
9. An improved method for the synthesis of 2-, 3- and 4-dialkylaminomethylanilines (HP-3714HP)
Béla Pete and Csaba Szántay
DOI: https://doi.org/10.3998/ark.5550190.0010.609
Full Text: PDF (210K)
Export Citation: RIS
pp. 78 - 83


received Dec 17 2008; accepted Jan 18 2009; published Feb 3 2009;
10. Study of the regioselectivity of vicarious nucleophilic amination of mononitroquinolines with 1,1,1-trimethylhydrazinium iodide (TMHI) (HP-3514MP)
Maria Grzegożek, Barbara Szpakiewicz and Piotr Kowalski
DOI: https://doi.org/10.3998/ark.5550190.0010.610
Full Text: PDF (238K)
Supplementary Material: PDF (135K)
Export Citation: RIS
pp. 84 - 88


received Sep 16 2008; accepted Jan 24 2009; published Feb 4 2009;
11. Synthesis and biological evaluation of sulfonamide thiazole and benzothiazole derivatives as antimicrobial agents (HP-3516MP)
Iro Argyropoulou, Athina Geronikaki, Paola Vicini and Franca Zani
DOI: https://doi.org/10.3998/ark.5550190.0010.611
Full Text: PDF (485K)
Export Citation: RIS
pp. 89 - 102


received Sep 16 2008; accepted Jan 26 2009; published Feb 4 2009;
12. Study on the reaction mechanism of Heck-oxyarylation of 2H-chromenes (HP-3492MP)
Gábor Kerti, Tibor Kurtán and Sándor Antus
DOI: https://doi.org/10.3998/ark.5550190.0010.612
Full Text: PDF (240K)
Export Citation: RIS
pp. 103 - 110


received Sep 5 2008; accepted Jan 24 2009; published Feb 4 2009;
13. Stereoselective 1-arylation of isoquinolines via chiral N-acylisoquinolinium salts (HP-3524MP)
Christoph Bender and Jürgen Liebscher
DOI: https://doi.org/10.3998/ark.5550190.0010.613
Full Text: PDF (458K)
Export Citation: RIS
pp. 111 - 136


received Sep 19 2008; accepted Jan 29 2009; published Feb 5 2009;
14. Transformations of dimethyl acetone-1,3-dicarboxylate. The synthesis of (4-oxo-4H-pyrido[1,2-a]pyrimidin-3-yl)thiazole-5-carboxylates (HP-3597HP)
Martina Žugelj, Alen Albreht, Uroš Uršič, Jurij Svete and Branko Stanovnik
DOI: https://doi.org/10.3998/ark.5550190.0010.614
Full Text: PDF (272K)
Export Citation: RIS
pp. 137 - 145


received Oct 24 2008; accepted Jan 29 2009; published Feb 20 2009;
15. Samarium diiodide-induced reductive coupling of chiral nitrones prepared from D-isoascorbic acid with methyl acrylate (HP-3533MP)
Juraj Rehák, Lubor Fišera and Nada Prónayová
DOI: https://doi.org/10.3998/ark.5550190.0010.615
Full Text: PDF (268K)
Export Citation: RIS
pp. 146 - 157


received Sep 23 2008; accepted Jan 29 2009; published Feb 20 2009;
16. A recently recognized ambident reactivity of 2,3-diamino-isoquinolinium salts (HP-3743HP)
Zsuzsanna Riedl, László Filák, Orsolya Egyed and György Hajós
DOI: https://doi.org/10.3998/ark.5550190.0010.616
Full Text: PDF (262K)
Export Citation: RIS
pp. 158 - 166


received Dec 31 2008; accepted Feb 18 2009; published Feb 25 2009;
17. Regioselective lithiations of 2-(3,5-dichlorophenyl)-2-(4-fluorophenyl)-1,3-dioxolane (HP-3785HP)
Márta Porcs-Makkay and Gyula Simig
DOI: https://doi.org/10.3998/ark.5550190.0010.617
Full Text: PDF (223K)
Export Citation: RIS
pp. 167 - 173


received Jan 14 2009; accepted Feb 13 2009; published Feb 25 2009;
18. Synthesis of 5-methyl-5H-pyrrolo[2,3-c]quinoline and 4-methyl-4H-pyrrolo[2,3-c]isoquinoline: two new unnatural D-ring stripped isomers of the cryptolepine series (HP-3554MP)
Gitte Van Baelen, Guy L. F. Lemière, Roger A. Dommisse and Bert U. W. Maes
DOI: https://doi.org/10.3998/ark.5550190.0010.618
Full Text: PDF (264K)
Export Citation: RIS
pp. 174 - 182


received Oct 1 2008; accepted Feb 9 2009; published Feb 25 2009;
19. Effects of substituents on the rates of addition of 2-phenylpropionitrile carbanion to nitroarenes (HP-3464HP)
Mieczysław Mąkosza, Maciej Gola and Daniel Sulikowski
DOI: https://doi.org/10.3998/ark.5550190.0010.619
Full Text: PDF (229K)
Export Citation: RIS
pp. 183 - 190


received Aug 27 2008; accepted Feb 12 2009; published Mar 17 2009;
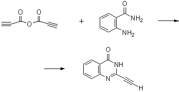
20. Synthesis of 2-ethynyl-4(3H)quinazolinone and 2-(1,3-butadienyl)-4(3H)quinazolinone (HP-3742HP)
Jan Bergman and Ivan Romero
DOI: https://doi.org/10.3998/ark.5550190.0010.620
Full Text: PDF (190K)
Export Citation: RIS
pp. 191 - 195


received Dec 30 2008; accepted Feb 28 2009; published Mar 22 2009;
21. Non-natural nucleosides based on 1,2,4-triazolo[5,1-c][1,2,4]triazin-4(6H)-ones (HP-3621HP)
Sergey L. Deev, Tatiana S. Shestakova, Vladimir L. Rusinov, Oleg N. Chupakhin and Alexander S. Shashkov
DOI: https://doi.org/10.3998/ark.5550190.0010.621
Full Text: PDF (318K)
Export Citation: RIS
pp. 196 - 207


received Nov 1 2008; accepted Feb 18 2009; published Mar 22 2009;
22. SNH reactions of ferrocenyllithium and azine N-oxides (HP-3619HP)
Oleg N. Chupakhin, Mikhail V. Varaksin, Irina A. Utepova and Vladimir L. Rusinov
DOI: https://doi.org/10.3998/ark.5550190.0010.622
Full Text: PDF (313K)
Export Citation: RIS
pp. 208 - 220


received Oct 30 2008; accepted Feb 24 2009; published Mar 27 2009;
23. Ring closure reactions of bicyclic prolinol and prolin ester enantiomers (HP-3523MP)
Márta Palkó, Zsuzsa Molnár, Henri Kivelä, Jari Sinkkonen, Kalevi Pihlaja and Ferenc Fülöp
DOI: https://doi.org/10.3998/ark.5550190.0010.623
Full Text: PDF (238K)
Export Citation: RIS
pp. 221 - 234


received Sep 18 2008; accepted Mar 15 2009; published Apr 8 2009;
24. An ANRORC approach to the synthesis of perfluoroalkylated 1,2,4-triazole-carboxamides (HP-3477MP)
Antonio Palumbo Piccionello, Andrea Pace, Silvestre Buscemi and Nicolò Vivona
DOI: https://doi.org/10.3998/ark.5550190.0010.624
Full Text: PDF (241K)
Export Citation: RIS
pp. 235 - 244


received Sep 1 2008; accepted Mar 26 2009; published Apr 8 2009;
25. Non-symmetrical allenyl azines and their transformations leading to new heterocyclic skeletons (HP-3553MP)
Juraj Galeta, Stanislav Man and Milan Potáček
DOI: https://doi.org/10.3998/ark.5550190.0010.625
Full Text: PDF (467K)
Export Citation: RIS
pp. 245 - 259


received Sep 30 2008; accepted Apr 19 2009; published Apr 26 2009;
26. The synthesis of 1,2,3,6,6a,7-hexahydro-7-methyl-5-imino-1H-pyrrolo[1,2-c]imidazolo[5,4-b]indole (HP-3939HP)
Daniel Pla, Keith Mills, John A. Joule, Fernando Albericio and Mercedes Álvarez
DOI: https://doi.org/10.3998/ark.5550190.0010.626
Full Text: PDF (290K)
Export Citation: RIS
pp. 260 - 269


received Mar 25 2009; accepted Apr 15 2009; published May 1 2009;
27. α-Azido ketones, Part 6. Reduction of acyclic and cyclic α-azido ketones into α-amino ketones: old problems and new solutions (HP-3629HP)
Tamás Patonay, Károly Micskei, Éva Juhász-Tóth, Szabolcs Fekete and Veronika Cs. Pardi-Tóth
DOI: https://doi.org/10.3998/ark.5550190.0010.627
Full Text: PDF (334K)
Export Citation: RIS
pp. 270 - 290


received Nov 4 2008; accepted Apr 19 2009; published May 1 2009;
28. Efficient solventless technique for Boc-protection of hydrazines and amines (HP-3844HP)
Mairi Raju, Sirje Mäeorg, Olga Tšubrik and Uno Mäeorg
DOI: https://doi.org/10.3998/ark.5550190.0010.628
Full Text: PDF (179K)
Export Citation: RIS
pp. 291 - 297


received Feb 9 2009; accepted Apr 15 2009; published May 1 2009;
29. Synthesis of novel 3-heterospiro[5.5]undecanes (HP-3446HP)
Johannes Fröhlich, Fritz Sauter, Christian Hametner and Monika Pfalz
DOI: https://doi.org/10.3998/ark.5550190.0010.629
Full Text: PDF (225K)
Export Citation: RIS
pp. 298 - 308


received Aug 21 2008; accepted Apr 19 2009; published May 22 2009;


CLOCKSS system has permission to ingest, preserve, and serve this Archival Unit
LOCKSS system has permission to collect, preserve, and serve this Archival Unit

Let's Encrypt Trusted Site Seal