2020-08-28
HOME
BROWSE
ARKIVOC
ABOUT
ARKIVOC
SEARCH
ARKIVOC
CONFERENCES
FLOHET/OTHERS
MONTHLY
NEWSLETTER
DONATE
Browse ARKIVOC
Submit Your Paper
Instructions:
Papers, Accounts, Reviews
Templates:
Papers
Accounts, Reviews
Commemorative Issues:
Aims and Procedures
Regional Issues:
Aims and Procedures
We thank OAKWOOD CHEMICAL for their generous support of Arkivoc and the FloHet Conferences

BROWSE ARKIVOC


ARKIVOC Volume 2007
Part (vii): Commemorative Issue in Honor of Prof. Atta-ur-Rahman on the occasion of his 65th anniversary
Facilitator: Mahmood Alam
Scientific Editor: Paul Krapcho

Graphical Abstracts PDF (686K)
1. A Tribute to Prof. Atta-Ur-Rahman (UR-1425CT)
DOI: https://doi.org/10.3998/ark.5550190.0008.701
Full Text: PDF (137K)
Export Citation: RIS
pp. 1 - 7
accepted Jul 26 2006; published Aug 1 2006;
2. A simple synthesis of 2-acetyl-5-hydroxy-1,2,3,4-tetrahydronaphthalene (UR-1912CP)
William J. Vera and Ajoy K. Banerjee
DOI: https://doi.org/10.3998/ark.5550190.0008.702
Full Text: PDF (121K)
Export Citation: RIS
pp. 8 - 11


received Apr 29 2006; accepted May 22 2006; published Aug 14 2006;
3. Preparation of (2R)-2-acetoxy-D-forosamine for the total synthesis of spinosyns (UR-1928CP)
Lutz F. Tietze, Niels Böhnke and Gordon Brasche
DOI: https://doi.org/10.3998/ark.5550190.0008.703
Full Text: PDF (207K)
Export Citation: RIS
pp. 12 - 21


received May 17 2006; accepted Jun 20 2006; published Aug 14 2006;
4. Phytochemistry of three selected liverworts: Conocephalum conicum, Plagiochila barteri and P. terebrans (UR-1924CP)
Liva Harinantenaina, Shyoko Kida and Yoshinori Asakawa
DOI: https://doi.org/10.3998/ark.5550190.0008.704
Full Text: PDF (224K)
Export Citation: RIS
pp. 22 - 29


received May 13 2006; accepted Jul 10 2006; published Aug 14 2006;
5. MAOS versus conventional synthesis of 4,5-di- and 3,4,5-triphenylimidazole-2-thione and their derivatives (UR-1729CP)
E. S. H. El Ashry, N. Rashed, L. F. Awad, E. Ramadan, S. M. Abdel-Maggeed and N. Rezki
DOI: https://doi.org/10.3998/ark.5550190.0008.705
Full Text: PDF (242K)
Export Citation: RIS
pp. 30 - 40


received Nov 24 2005; accepted Feb 2 2006; published Aug 14 2006;
6. Reductive removal of the Boc protecting group via a DTBB-catalysed lithiation reaction (UR-1782CP)
Raquel Almansa, Cherif Behloul, David Guijarro and Miguel Yus
DOI: https://doi.org/10.3998/ark.5550190.0008.706
Full Text: PDF (220K)
Export Citation: RIS
pp. 41 - 50


received Jan 4 2006; accepted Mar 1 2006; published Aug 14 2006;
7. Reactivity of alkyl aryl selenides towards butyllithiums: synthesis and alkylation of aryllithiums; a new synthetic route to aryl alkanes (UR-1968CP)
Alain Krief, Willy Dumont and Frédéric Gillin
DOI: https://doi.org/10.3998/ark.5550190.0008.707
Full Text: PDF (330K)
Export Citation: RIS
pp. 51 - 64


received Jun 23 2006; accepted Aug 3 2006; published Aug 23 2006;
8. Bioassay-guided isolation of anti-algal constituents from Inula helenium and Limonium myrianthum (UR-1979CP)
Charles L. Cantrell, Leonid K. Mamonov, Natalja Ryabushkina, Tatyana S. Kustova, Nikolaus H. Fischer and Kevin K. Schrader
DOI: https://doi.org/10.3998/ark.5550190.0008.708
Full Text: PDF (217K)
Export Citation: RIS
pp. 65 - 75


received Jun 29 2006; accepted Aug 3 2006; published Aug 24 2006;
9. Baccharis (Compositae): a review update (UR-1989CR)
Maria José Abad and Paulina Bermejo
DOI: https://doi.org/10.3998/ark.5550190.0008.709
Full Text: PDF (269K)
Export Citation: RIS
pp. 76 - 96


received Jul 7 2006; accepted Aug 3 2006; published Sep 5 2006;
10. Natural products in a world out-of-balance (UR-2003CR)
Geoffrey A. Cordell and Michael D. Colvard
DOI: https://doi.org/10.3998/ark.5550190.0008.710
Full Text: PDF (219K)
Export Citation: RIS
pp. 97 - 115


received Jul 12 2006; accepted Aug 21 2006; published Sep 5 2006;
11. Active antifungal substances from natural sources (UR-2002CR)
Maria José Abad, Maria Ansuategi and Paulina Bermejo
DOI: https://doi.org/10.3998/ark.5550190.0008.711
Full Text: PDF (298K)
Export Citation: RIS
pp. 116 - 145


received Jul 12 2006; accepted Sep 4 2006; published Sep 11 2006;
12. Molecular composition and quality/taste of olive oil: monoterpenes and natural phenols (UR-1886CR)
Armandodoriano Bianco, Anna Maria Serrilli and Cristiana Melchioni
DOI: https://doi.org/10.3998/ark.5550190.0008.712
Full Text: PDF (220K)
Export Citation: RIS
pp. 146 - 156


received Apr 5 2006; accepted Jul 20 2006; published Sep 11 2006;
13. Isocyanates in marine sponges: Axisocyanate-3, a new sesquiterpene from Acanthella cavernosa (UR-2060CP)
Pinus Jumaryatno, Karen Rands-Trevor, Joanne T. Blanchfield and Mary J. Garson
DOI: https://doi.org/10.3998/ark.5550190.0008.713
Full Text: PDF (259K)
Supplementary Material: PDF (880K)
Export Citation: RIS
pp. 157 - 166


received Aug 4 2006; accepted Aug 28 2006; published Sep 13 2006;
14. p-Hydroxycinnamyl aldehydes in lignifying plant cell walls (UR-1997CP)
Laura V. Gómez-Ros, Jose M. Espiñeira, F. Pomar, María J.L. Núñez-Flores and A. Ros Barceló
DOI: https://doi.org/10.3998/ark.5550190.0008.714
Full Text: PDF (215K)
Export Citation: RIS
pp. 167 - 171


received Jul 11 2006; accepted Sep 11 2006; published Sep 21 2006;
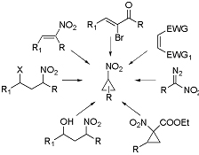
15. Synthesis and use of nitrocyclopropane derivatives (UR-2142CR)
Roberto Ballini, Alessandro Palmieri and Dennis Fiorini
DOI: https://doi.org/10.3998/ark.5550190.0008.715
Full Text: PDF (310K)
Export Citation: RIS
pp. 172 - 194


received Sep 6 2006; accepted Sep 30 2006; published Oct 3 2006;
16. Antioxidant activity tests on novel triterpenoids from Salvia macrochlamys (UR-2083CP)
Gülaçtı Topçu, Abdülselam Ertaş, Ufuk Kolak, Mehmet Öztürk and Ayhan Ulubelen
DOI: https://doi.org/10.3998/ark.5550190.0008.716
Full Text: PDF (346K)
Export Citation: RIS
pp. 195 - 208


received Aug 9 2006; accepted Oct 2 2006; published Oct 11 2006;
17. An observation on the regioselectivity of ring-opening of some substituted cyclohexenyl epoxides (UR-2104CP)
Madeleine Helliwell, Eric J. Thomas and Clare Vickers
DOI: https://doi.org/10.3998/ark.5550190.0008.717
Full Text: PDF (297K)
Export Citation: RIS
pp. 209 - 221


received Aug 24 2006; accepted Sep 30 2006; published Oct 11 2006;
18. Interaction of plant amine oxidases with diaminoethers (UR-2149CP)
Marek Šebela, Karla Jarkovská, René Lenobel, Rosaria Medda, Alessandra Padiglia, Giovanni Floris and Pavel Peč
DOI: https://doi.org/10.3998/ark.5550190.0008.718
Full Text: PDF (436K)
Export Citation: RIS
pp. 222 - 232


received Sep 11 2006; accepted Oct 2 2006; published Oct 11 2006;
19. Progress toward the synthesis of the bicyclo (6.3.0) framework using TMM diyls (UR-2158CP)
Joohee Hong, Richard Yee and R. Daniel Little
DOI: https://doi.org/10.3998/ark.5550190.0008.719
Full Text: PDF (76K)
Export Citation: RIS
pp. 233 - 240


received Sep 18 2006; accepted Oct 27 2006; published Nov 4 2006;
20. Production of tripropeptins in media supplemented with precursors based on the biosynthetic pathway (UR-2020CP)
Hideki Hashizume, Chisato Nosaka, Sehei Hirosawa, Masayuki Igarashi, Yoshio Nishimura and Yuzuru Akamatsu
DOI: https://doi.org/10.3998/ark.5550190.0008.720
Full Text: PDF (214K)
Export Citation: RIS
pp. 241 - 253


received Jul 24 2006; accepted Oct 27 2006; published Nov 13 2006;
21. Copper(II)-catalyzed O-phenylation of alcohols with organobismuth(V) reagents (UR-2051CP)
Naoto Sakurai, Kazuhiro Ikegai and Teruaki Mukaiyama
DOI: https://doi.org/10.3998/ark.5550190.0008.721
Full Text: PDF (172K)
Export Citation: RIS
pp. 254 - 264


received Aug 1 2006; accepted Oct 31 2006; published Nov 15 2006;
22. Diterpenoid alkaloids from some Turkish Consolida species and their antiviral activities (UR-2071CP)
Bilge Şener, Ilkay Orhan and Berrin Özçelik
DOI: https://doi.org/10.3998/ark.5550190.0008.722
Full Text: PDF (186K)
Export Citation: RIS
pp. 265 - 272


received Aug 7 2006; accepted Nov 3 2006; published Nov 15 2006;
23. Synthesis and natural occurrence of (Z/E)-β-and γ-curcumen-12-ol (UR-2139CP)
Norbert A. Braun and Dietrich Spitzner
DOI: https://doi.org/10.3998/ark.5550190.0008.723
Full Text: PDF (118K)
Export Citation: RIS
pp. 273 - 279


received Sep 6 2006; accepted Nov 2 2006; published Nov 17 2006;
24. Molecular interrelations in the Melodinus alkaloids (UR-2213CU)
László F. Szabó
DOI: https://doi.org/10.3998/ark.5550190.0008.724
Full Text: PDF (313K)
Export Citation: RIS
pp. 280 - 290


received Oct 9 2006; accepted Nov 30 2006; published Dec 17 2006;
25. Unexpected course of a Williamson ether synthesis (UR-2244CP)
Klaus-Peter Zeller, Peter Haiss, Meike Hartmann and Klaus Eichele
DOI: https://doi.org/10.3998/ark.5550190.0008.725
Full Text: PDF (321K)
Export Citation: RIS
pp. 291 - 300


received Nov 3 2006; accepted Dec 5 2006; published Dec 17 2006;
26. Identification of sulfated steroidal glycosides from the starfish Heliaster helianthus by electrospray ionization mass spectrometry (UR-2177CP)
Marta S. Maier, Romina Centurión, Claudia Muniain, Renato Haddad and Marcos N. Eberlin
DOI: https://doi.org/10.3998/ark.5550190.0008.726
Full Text: PDF (271K)
Export Citation: RIS
pp. 301 - 309


received Sep 27 2006; accepted Dec 5 2006; published Dec 17 2006;
27. New entries for regio- and enantiopure syntheses of pyrrolidene systems fused to carbohydrate templates (UR-2140CP)
Raed A. Al-Qawasmeh, Taleb H. Al-Telb, Khalid M. Khan and Wolfgang Voelter
DOI: https://doi.org/10.3998/ark.5550190.0008.727
Full Text: PDF (195K)
Export Citation: RIS
pp. 310 - 317


received Sep 5 2006; accepted Dec 19 2006; published Jan 10 2007;
28. Diplofuranones A and B, two further new 4-monosubstituted 2(3H)-dihydrofuranones produced by Diplodia corticola, a fungus pathogen of cork oak (UR-2182CP)
Antonio Evidente, Anna Andolfi, Michele Fiore, Emanuela Spanu, Antonio Franceschini and Lucia Maddau
DOI: https://doi.org/10.3998/ark.5550190.0008.728
Full Text: PDF (277K)
Export Citation: RIS
pp. 318 - 328


received Sep 28 2006; accepted Dec 18 2006; published Jan 13 2007;
29. Synthesis of 3,4-disaccharides from pyranosides and furanosides monomers, a novel class of potential bioactive disaccharides (UR-2162CP)
Muhammad Abbas, Bernhard Westermann and Wolfgang Voelter
DOI: https://doi.org/10.3998/ark.5550190.0008.729
Full Text: PDF (238K)
Export Citation: RIS
pp. 329 - 334


received Sep 19 2006; accepted Jan 10 2007; published Jan 23 2007;
30. Studies on Betula essential oils (UR-2307CR)
K. Hüsnü Can Başer and Betül Demirci
DOI: https://doi.org/10.3998/ark.5550190.0008.730
Full Text: PDF (334K)
Export Citation: RIS
pp. 335 - 348


received Dec 14 2006; accepted Jan 30 2007; published Feb 6 2007;
31. New phenolic derivatives from Vernonia mapirensis Gleason (UR-2258CP)
Luis Morales-Escobar, Alessandra Braca, Cosimo Pizza and Nunziatina De Tommasi
DOI: https://doi.org/10.3998/ark.5550190.0008.731
Full Text: PDF (214K)
Export Citation: RIS
pp. 349 - 358


received Nov 13 2006; accepted Dec 19 2006; published Feb 9 2007;


CLOCKSS system has permission to ingest, preserve, and serve this Archival Unit
LOCKSS system has permission to collect, preserve, and serve this Archival Unit

Let's Encrypt Trusted Site Seal