2020-08-28
HOME
BROWSE
ARKIVOC
ABOUT
ARKIVOC
SEARCH
ARKIVOC
CONFERENCES
FLOHET/OTHERS
MONTHLY
NEWSLETTER
DONATE
Browse ARKIVOC
Submit Your Paper
Instructions:
Papers, Accounts, Reviews
Templates:
Papers
Accounts, Reviews
Commemorative Issues:
Aims and Procedures
Regional Issues:
Aims and Procedures
We thank OAKWOOD CHEMICAL for their generous support of Arkivoc and the FloHet Conferences

BROWSE ARKIVOC


ARKIVOC Volume 2005
Part (x): Commemorative Issue in Honor of Prof. Alexandru T. Balaban on the occasion of his 75th anniversary
Facilitator: Ion Ghiviriga
Scientific Editor: Kenneth Turnbull

Graphical Abstracts PDF (749K)
1. A Tribute to Prof. Alexandru Balaban (AB-1403BT)
Ion Ghiriviga
DOI: https://doi.org/10.3998/ark.5550190.0006.a01
Full Text: PDF (126K)
Export Citation: RIS
pp. 1 - 8
accepted Sep 23 2004; published Dec 3 2004;
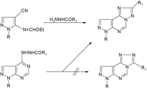
2. Two approaches to a new heterocyclic system of pyrazolo[4,3-e][1,2,4]triazolo[1,5-c]pyrimidine (AB-1174BP)
Valery V. Mezheritsky, Vladimir I. Minkin, Lyudmila G. Minyarva, Roman V. Tyurin, Valery V. Krasnikov, Eugeny V. Vorobyev and Zoya A. Starikova
DOI: https://doi.org/10.3998/ark.5550190.0006.a02
Full Text: PDF (190K)
Export Citation: RIS
pp. 9 - 17


received May 26 2004; accepted Aug 13 2004; published Dec 10 2004;
3. RuO4-mediated oxidation of N-benzylated tertiary amines. 2. Regioselectivity for N,N-dimethyl- and N,N-diethylbenzylamine as substrates (AB-1275BP)
Horia Petride, Oana Costan, Constantin Draghici, Cristina Florea and Aurica Petride
DOI: https://doi.org/10.3998/ark.5550190.0006.a03
Full Text: PDF (249K)
Export Citation: RIS
pp. 18 - 32


received Nov 8 2004; accepted Jan 8 2005; published Jan 19 2005;
4. Paths and walks in acyclic structures: Kenograms versus plerograms (AB-1245BP)
Damir Vukicevic, Ante Milicevic, Sonja Nikolic, Jelena Sedlar and Nenad Trinajstic
DOI: https://doi.org/10.3998/ark.5550190.0006.a04
Full Text: PDF (225K)
Export Citation: RIS
pp. 33 - 44


received Oct 13 2004; accepted Jan 13 2005; published Jan 24 2005;
5. QSAR study for diarylguanidines, noncompetitive NMDA receptor antagonists. A new topological index AAd derived from local invariants of the chemical graphs of diarylguanidines (AB-1300BP)
Adrian Beteringhe, Petru Filip and Laszlo Tarko
DOI: https://doi.org/10.3998/ark.5550190.0006.a05
Full Text: PDF (166K)
Export Citation: RIS
pp. 45 - 62


received Dec 9 2004; accepted Feb 10 2005; published Mar 1 2005;
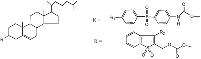
6. Cholesteryl derivatives with sulfonyl moiety (AB-1254BP)
Carmen Topala, Miron T. Caproiu and Constantin Draghici
DOI: https://doi.org/10.3998/ark.5550190.0006.a06
Full Text: PDF (289K)
Export Citation: RIS
pp. 63 - 70


received Oct 19 2004; accepted Jan 27 2005; published Mar 4 2005;
7. Azulenic ß diketones. Synthesis, properties and five membered aromatic heterocyles building (AB-1309BP)
Alexandru C. Razus, Liviu Birzan, Stefania Nae, Oana Luiza Lehadus, Claudia Pavel and Oana Costan
DOI: https://doi.org/10.3998/ark.5550190.0006.a07
Full Text: PDF (194K)
Export Citation: RIS
pp. 71 - 85


received Dec 16 2004; accepted Feb 16 2005; published Mar 10 2005;
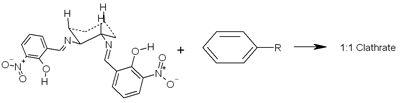
8. (-)-(R,R)-N,N′-Bis(3-nitro-salicylidene)-1,2-cyclohexanediamine as a new host compound for aromatic guests through CH/JI interactions (AB-1325BP)
Esfandiar Rafii, Michel Giorgi, Nicolas Vanthuyne and Christian Roussel
DOI: https://doi.org/10.3998/ark.5550190.0006.a08
Full Text: PDF (344K)
Export Citation: RIS
pp. 86 - 94


received Dec 30 2004; accepted Feb 22 2005; published Mar 11 2005;
9. A new approach for the synthesis of benzo[f]pyrrolo[1,2-a]-quinolines (AB-1351BP)
Emilian Georgescu, Constantin Draghici, Paula C. Iuhas and Florentina Georgescu
DOI: https://doi.org/10.3998/ark.5550190.0006.a09
Full Text: PDF (163K)
Export Citation: RIS
pp. 95 - 104


received Jan 25 2005; accepted Mar 22 2005; published Mar 7 2005;
10. Recent developments in design and synthesis of well-defined ruthenium metathesis catalysts – a highly successful opening for intricate organic synthesis (AB-1334BR)
Ileana Dragutan, Valerian Dragutan and Petru Filip
DOI: https://doi.org/10.3998/ark.5550190.0006.a10
Full Text: PDF (216K)
Export Citation: RIS
pp. 105 - 129


received Jan 3 2005; accepted Mar 28 2005; published Apr 8 2005;
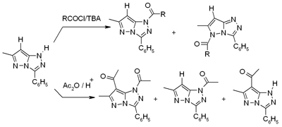
11. Structure of the acylation products from 3,6-disubstituted and 3,6,7-trisubstituted 1H-pyrazolo[5,1-c] [1,2,4]triazoles (AB-1326BP)
Bercean Vasile-Nicolae, Badea Valentin, Venter Monica, Medeleanu Mihai, Csunderlik Carol
DOI: https://doi.org/10.3998/ark.5550190.0006.a11
Full Text: PDF (172K)
Export Citation: RIS
pp. 130 - 138


received Dec 30 2004; accepted Apr 21 2005; published Apr 26 2005;
12. Novel dicyanomethylene compounds from the reaction of 2-aryl-2,3-dihydro-1H-pyrrolo[3,4-b]quinoxalines with ethenetetracarbonitrile (AB-1343BP)
Alaa A. Hassan, Kamal M. El-Shaieb and Dietrich Döpp
DOI: https://doi.org/10.3998/ark.5550190.0006.a12
Full Text: PDF (144K)
Export Citation: RIS
pp. 139 - 149


received Jan 11 2005; accepted Apr 19 2005; published Apr 28 2005;
13. Coupled photocatalytic electron-transfers with 4,4´-bipyridinium derivatives of a betaine alkaloid from Punica granatum (AB-1360BP)
Andreas Schmidt, Thorsten Mordhorst, Henning Fleischhauer, Gunnar Jeschke
DOI: https://doi.org/10.3998/ark.5550190.0006.a13
Full Text: PDF (529K)
Export Citation: RIS
pp. 150 - 164


received Feb 8 2005; accepted Apr 22 2005; published May 12 2005;
14. 1,3-Dipolar cycloaddition reactions of 1-(3-nitrophenacyl)-1,10-phenanthrolinium N-ylide with activated alkynes (AB-1295BP)
Florea Dumitrascu, Constantin Draghici, Mino R. Caira, Andrei Badoiu, Loredana Barbu, Mihaela Cristea
DOI: https://doi.org/10.3998/ark.5550190.0006.a14
Full Text: PDF (117K)
Export Citation: RIS
pp. 165 - 173


received Dec 6 2004; accepted Apr 22 2005; published May 12 2005;
15. The homologation of carbonyl compounds by single carbon insertion reactions (AB-1513BR)
Alan R. Katritzky, Sergey Bobrov
DOI: https://doi.org/10.3998/ark.5550190.0006.a15
Full Text: PDF (273K)
Export Citation: RIS
pp. 174 - 188


received Apr 18 2005; accepted Jun 8 2005; published Jun 17 2005;
16. Structure, liquid and solid state synthesis for dimers via [3+3] dipolar cycloadditions (AB-1503BP)
Gheorghita N. Zbancioc, Maria C. Caprosu, Costel C. Moldoveanu, Ionel I. Mangalagiu
DOI: https://doi.org/10.3998/ark.5550190.0006.a16
Full Text: PDF (185K)
Export Citation: RIS
pp. 189 - 198


received Mar 29 2005; accepted Jun 9 2005; published Jun 17 2005;
17. Synthesis of hydroxylated 3,5-diaryl-2-pyrazolines by the reaction of hydroxychalcones with hydrazines (AB-1524BP)
Albert Lévai and József Jeko
DOI: https://doi.org/10.3998/ark.5550190.0006.a17
Full Text: PDF (148K)
Export Citation: RIS
pp. 199 - 205


received Apr 27 2005; accepted Jun 22 2005; published Jun 25 2005;
18. N-Heterocyclic carbenes as highly efficient ancillary ligands in homogeneous and immobilized metathesis ruthenium catalytic systems (AB-1512BR)
Ileana Dragutan, Valerian Dragutan and Albert Demonceau
DOI: https://doi.org/10.3998/ark.5550190.0006.a18
Full Text: PDF (406K)
Export Citation: RIS
pp. 206 - 253


received Apr 1 2005; accepted Jun 22 2005; published Jun 25 2005;
19. Sweetness power QSARs by PRECLAV software (AB-1391BP)
Tarko Laszlo, Lupescu Irina, Groposila-Constantinescu Diana
DOI: https://doi.org/10.3998/ark.5550190.0006.a19
Full Text: PDF (252K)
Export Citation: RIS
pp. 254 - 271


received Mar 18 2005; accepted Jun 8 2005; published Jun 30 2005;
20. Pyridinium chlorides equipped with long chains as amphiphiles for potential nonviral gene delivery (AB-1583BP)
Mariana Viorica Bogatian, Valentin Cimpeanu, Calin Deleanu, Andreea Cristina Corbu, Gheorghe Bogatian and Teodor Silviu Balaban
DOI: https://doi.org/10.3998/ark.5550190.0006.a20
Full Text: PDF (234K)
Export Citation: RIS
pp. 272 - 284


received Jun 29 2005; accepted Aug 20 2005; published Aug 23 2005;
21. A practical synthesis of L-threo-dihydrosphingosine (safingol), an antineoplastic and antipsoriatic agent (AB-1589BP)
Lian Hao Zhang, Daniela C. Oniciu, Emil Pop, Ralf Mueller and Bruce H. McCosar
DOI: https://doi.org/10.3998/ark.5550190.0006.a21
Full Text: PDF (110K)
Export Citation: RIS
pp. 285 - 291


received Jun 30 2005; accepted Oct 11 2005; published Oct 12 2005;
22. Mean-field resonance-theoretic view of benzenoid networks (AB-1635BP)
D. J. Klein and T. Ivanciuc
DOI: https://doi.org/10.3998/ark.5550190.0006.a22
Full Text: PDF (130K)
Export Citation: RIS
pp. 292 - 307


received Aug 8 2005; accepted Nov 3 2005; published Nov 8 2005;
23. Development of quantitative structure-activity relationship models for vapor pressure estimation using computed molecular descriptors (AB-1629BP)
Subhash C. Basak, Denise Mills
DOI: https://doi.org/10.3998/ark.5550190.0006.a23
Full Text: PDF (134K)
Export Citation: RIS
pp. 308 - 320


received Aug 2 2005; accepted Nov 17 2005; published Nov 19 2005;


CLOCKSS system has permission to ingest, preserve, and serve this Archival Unit
LOCKSS system has permission to collect, preserve, and serve this Archival Unit

Let's Encrypt Trusted Site Seal