2020-08-28
HOME
BROWSE
ARKIVOC
ABOUT
ARKIVOC
SEARCH
ARKIVOC
CONFERENCES
FLOHET/OTHERS
MONTHLY
NEWSLETTER
DONATE
Browse ARKIVOC
Submit Your Paper
Instructions:
Papers, Accounts, Reviews
Templates:
Papers
Accounts, Reviews
Commemorative Issues:
Aims and Procedures
Regional Issues:
Aims and Procedures
We thank OAKWOOD CHEMICAL for their generous support of Arkivoc and the FloHet Conferences

BROWSE ARKIVOC


ARKIVOC Volume 2003
Part (v): Commemorative Issue in Honor of Prof. Gabor Bernath on the occasion of his 70th anniversary
Facilitator: Ferenc Fülöp
Scientific Editor: Christian V. Stevens

Graphical Abstracts PDF (563K)
1. A Tribute to Prof. Gabor Bernath (GB-473JT)
Ferenc Fülöp
DOI: https://doi.org/10.3998/ark.5550190.0004.501
Full Text: PDF (145K)
Export Citation: RIS
pp. 1 - 8
accepted Jan 18 2003; published Jan 18 2003;
2. Synthesis of 3,3-diarylpyrrolidines from diaryl ketones (GB-594JP)
Alan R. Katritzky, Satheesh K. Nair, Rachel M. Witek and Steven M. Hutchins
DOI: https://doi.org/10.3998/ark.5550190.0004.502
Full Text: PDF (152K)
Export Citation: RIS
pp. 9 - 18


received Oct 30 2002; accepted Dec 23 2002; published Jan 6 2003;
3. Chemoselective oxidation of 3-acetyl-2,3-dihydrobenzothiazoles by dimethyldioxirane (GB-642JP)
Albert Lévai and József Jeko
DOI: https://doi.org/10.3998/ark.5550190.0004.503
Full Text: PDF (184K)
Export Citation: RIS
pp. 19 - 27


received Jan 9 2003; accepted Jan 13 2003; published Feb 5 2003;
4. Synthesis of the methyl ethers of methyl 6-deoxy-3-C-methyl-α-L-talopyranoside and -α-L-mannopyranoside. Examination of the conformation and chromatographic properties of the compounds (GB-646JP)
Anikó Tóth, Judit Remenyik, István Bajza and András Lipták
DOI: https://doi.org/10.3998/ark.5550190.0004.504
Full Text: PDF (293K)
Export Citation: RIS
pp. 28 - 45


received Jan 10 2003; accepted Mar 3 2003; published Mar 14 2003;
5. Synthesis of 2-aminopropyl-3-indole–acetic(propionic) acid derivatives (GB-659JP)
Sophie-Isabelle Bascop, Jean-Yves Laronze and Janos Sapi
DOI: https://doi.org/10.3998/ark.5550190.0004.505
Full Text: PDF (157K)
Export Citation: RIS
pp. 46 - 61


received Jan 24 2003; accepted Mar 3 2003; published Mar 14 2003;
6. Ring opening and cycloadditions of novel fused 1,2,4-triazines (GB-650JP)
Zsuzsanna Riedl, György Hajós, Péter Kövér and Gert Kollenz
DOI: https://doi.org/10.3998/ark.5550190.0004.506
Full Text: PDF (84K)
Export Citation: RIS
pp. 62 - 68


received Jan 14 2003; accepted Mar 6 2003; published Mar 14 2003;
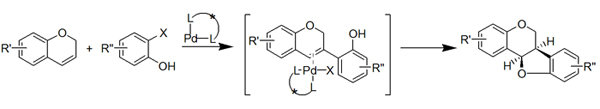
7. Further insight into the mechanism of Heck oxyarylation in the presence of chiral ligands (GB-653JP)
Loránd Kiss, Tibor Kurtán, Sándor Antus and Henri Brunner
DOI: https://doi.org/10.3998/ark.5550190.0004.507
Full Text: PDF (189K)
Export Citation: RIS
pp. 69 - 76


received Jan 16 2003; accepted Mar 6 2003; published Apr 24 2003;
8. Transformations of (Z)-2-benzoylamino-4-dimethylamino-2-oxo-3-butene and (E)-3-benzoylamino-4-cyano-2-oxo-3-butene into pyrimidine, pyrazole and isoxazole derivatives (GB-656JP)
Urska Bratusek, Anton Meden, Jurij Svete and Branko Stanovnik
DOI: https://doi.org/10.3998/ark.5550190.0004.508
Full Text: PDF (241K)
Export Citation: RIS
pp. 77 - 86


received Jan 21 2003; accepted Mar 6 2003; published Apr 25 2003;
9. Synthesis and stereochemistry of azeto[2,1-a]isoquinolin-2-one derivatives (GB-658JP)
Peter Csomos, Tamas A. Martinek, Laszlo Lazar and Ferenc Fulop
DOI: https://doi.org/10.3998/ark.5550190.0004.509
Full Text: PDF (229K)
Export Citation: RIS
pp. 87 - 93


received Jan 24 2003; accepted Mar 6 2003; published Apr 25 2003;
10. Synthesis and structural characterization of N-acetoacetylhydrazones and 2,5,5-trisubstituted 4-acetyl-3-pyrazolidinones (GB-643JP)
Kirill N. Zelenin, Sergei V. Oleinik, Anatolii A. Potekhin, Vladimir V. Ovcharenko, Jari Sinkkonen and Kalevi Pihlaja
DOI: https://doi.org/10.3998/ark.5550190.0004.510
Full Text: PDF (492K)
Export Citation: RIS
pp. 94 - 113


received Jan 9 2003; accepted Apr 28 2003; published May 2 2003;
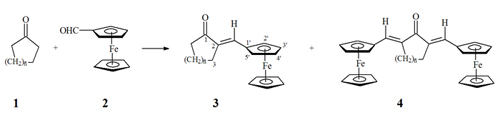
11. Synthesis and structure of some (E)-ferrocene-methylenecycloalkanones and their benzylidene analogs (GB-693JP)
Pál Sohár, Antal Csámpai and Pál Perjési
DOI: https://doi.org/10.3998/ark.5550190.0004.511
Full Text: PDF (90K)
Export Citation: RIS
pp. 114 - 120


received Feb 17 2003; accepted May 26 2003; published May 27 2003;
12. Synthesis and study of new 4-quinazolinone inhibitors of the DNA repair enzyme poly(ADP-ribose) polymerase (PARP) (GB-733JP)
Gyozo Kulcsar, Tamas Kalai, ErzsebetOsz, Cecilia P. Sar, Jozsef Jeko, Balazs Sumegi and Kalman Hideg
DOI: https://doi.org/10.3998/ark.5550190.0004.512
Full Text: PDF (254K)
Export Citation: RIS
pp. 121 - 131


received Mar 13 2003; accepted Jun 6 2003; published Jun 11 2003;


CLOCKSS system has permission to ingest, preserve, and serve this Archival Unit
LOCKSS system has permission to collect, preserve, and serve this Archival Unit

Let's Encrypt Trusted Site Seal