2020-08-28
HOME
BROWSE
ARKIVOC
ABOUT
ARKIVOC
SEARCH
ARKIVOC
CONFERENCES
FLOHET/OTHERS
MONTHLY
NEWSLETTER
DONATE
Browse ARKIVOC
Submit Your Paper
Instructions:
Papers, Accounts, Reviews
Templates:
Papers
Accounts, Reviews
Commemorative Issues:
Aims and Procedures
Regional Issues:
Aims and Procedures
We thank OAKWOOD CHEMICAL for their generous support of Arkivoc and the FloHet Conferences

BROWSE ARKIVOC


ARKIVOC Volume 2002
Part (iii): Commemorative Issue in Honor of Dr. Douglas Lloyd on the occasion of his 80th anniversary
Facilitator: R. Alan Aitken
Scientific Editor: G. S. R. Subba Rao

Graphical Abstracts PDF (696K)
1. A Tribute to Douglas Lloyd (DL-454GT)
J. F. Gibson, R. K. Mackie and D. R. Marshall
DOI: https://doi.org/10.3998/ark.5550190.0003.301
Full Text: PDF (78K)
Export Citation: RIS
pp. 1 - 18
accepted Dec 30 2001; published Jun 26 2005;
2. Novel syntheses of polynitroaromatic compounds by reversed-dipole (‘Umpolung’) nitrations1 (DL-266GP)
Ross W. Millar, Robert P. Claridge, John P. B. Sandall and Claire Thompson
DOI: https://doi.org/10.3998/ark.5550190.0003.302
Full Text: PDF (155K)
Export Citation: RIS
pp. 19 - 36


received Jul 13 2001; accepted Jan 8 2002; published Jan 16 2002;
3. The synthesis of 5-fluorokynurenine and 6-fluorokynurenic acid as metabolic probes (DL-269GP)
Karen M. Muirhead and Nigel P. Botting
DOI: https://doi.org/10.3998/ark.5550190.0003.303
Full Text: PDF (70K)
Export Citation: RIS
pp. 37 - 45


received Jul 17 2001; accepted Jan 2 2002; published Jan 10 2002;
4. Regiocontrol in the α,α-dialkylation of ketones (DL-330GP)
Alan R. Katritzky, Zuoquan Wang, Yu Ji and Yunfeng Fang
DOI: https://doi.org/10.3998/ark.5550190.0003.304
Full Text: PDF (126K)
Export Citation: RIS
pp. 46 - 54


received Oct 25 2001; accepted Jan 10 2002; published Jan 18 2002;
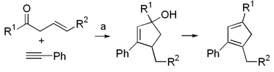
5. On the preparation of cyclopentadienes by a novel homolytic annulation of but-3-en-1-ones with alkynes mediated by samarium diiodide (DL-230GP)
Andrew J. McCarroll and John C. Walton
DOI: https://doi.org/10.3998/ark.5550190.0003.305
Full Text: PDF (137K)
Export Citation: RIS
pp. 55 - 62


received Jun 1 2001; accepted Jan 14 2002; published Jan 22 2002;
6. A synthetic and NMR conformational study of spiro cyclic quaternary ammonium salts (DL-259GP)
R. Alan Aitken, Eilidh F. Philp, Frank G. Riddell and Melanja H. Smith
DOI: https://doi.org/10.3998/ark.5550190.0003.306
Full Text: PDF (115K)
Export Citation: RIS
pp. 63 - 70


received Jul 11 2001; accepted Jan 15 2002; published Jan 23 2002;
7. Flash vacuum pyrolysis of oxazolidine-2,4-diones (DL-260GP)
R. Alan Aitken and Andrew W. Thomas
DOI: https://doi.org/10.3998/ark.5550190.0003.307
Full Text: PDF (137K)
Export Citation: RIS
pp. 71 - 79


received Jul 12 2001; accepted Jan 15 2002; published Jan 23 2002;
8. Aspects of heterocyclisation reactions mediated by nucleophilic interaction of aromatic nitro groups with ortho heterocumulene side chains (DL-282GP)
Kevin J. Duffy, George Tennant,Christopher J. Wallis and George W. Weaver
DOI: https://doi.org/10.3998/ark.5550190.0003.308
Full Text: PDF (87K)
Export Citation: RIS
pp. 80 - 89


received Aug 7 2001; accepted Jan 15 2002; published Jan 23 2002;
9. The interaction of 1,4-diketones with thiazyl chloride (NSCl) (DL-321GP)
Sean M. Laaman, Otto Meth-Cohn and Charles W. Rees
DOI: https://doi.org/10.3998/ark.5550190.0003.309
Full Text: PDF (152K)
Export Citation: RIS
pp. 90 - 94


received Oct 5 2001; accepted Jan 27 2002; published Feb 4 2002;
10. Thermolysis of polyazapentadienes. Part 12.1 The 1,1-dialkyl-5-aryl-1,3,5-triazapentadiene problem (DL-285GP)
Hamish McNab and M. Elizabeth-Ann Murray
DOI: https://doi.org/10.3998/ark.5550190.0003.310
Full Text: PDF (67K)
Export Citation: RIS
pp. 95 - 102


received Jun 13 2001; accepted Jan 27 2002; published Feb 4 2002;
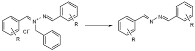
11. Conversion of iminium salts and benzylhydrazones into aromatic azines (DL-271GP)
Alistair M. Stephen, Theunis G. D. van Schalkwyk and Neil Ravenscroft
DOI: https://doi.org/10.3998/ark.5550190.0003.311
Full Text: PDF (174K)
Export Citation: RIS
pp. 103 - 111


received Jul 20 2001; accepted Jan 29 2002; published Feb 6 2002;
12. Synthesis and structure optimization of double (fluorescent and spin) sensor molecules (DL-297GP)
Tamás Kálai, Olga H. Hankovszky, Éva Hideg, József Jeko and Kálmán Hideg
DOI: https://doi.org/10.3998/ark.5550190.0003.312
Full Text: PDF (119K)
Export Citation: RIS
pp. 112 - 120


received Aug 28 2001; accepted Jan 29 2002; published Feb 6 2002;
13. Nitrile sulfides. Part 12.1,2 Generation of nitrile sulfides from 1,4,2-dithiazol-5-ones (DL-323GP)
John Crosby, Keith J. Grant, Derek. J. Greig, R.Michael Paton, John G. Rankin and John F. Ross
DOI: https://doi.org/10.3998/ark.5550190.0003.313
Full Text: PDF (133K)
Export Citation: RIS
pp. 121 - 129


received Oct 8 2001; accepted Feb 3 2002; published Feb 11 2002;
14. Thermal and photochemical reactivity of β,γ-unsaturated oximes in the presence of SnCl4 (DL-238GP)
William M. Horspool, George Hynd and Ulrich Ixkes
DOI: https://doi.org/10.3998/ark.5550190.0003.314
Full Text: PDF (59K)
Export Citation: RIS
pp. 130 - 139


received Jun 13 2001; accepted Feb 6 2002; published Feb 14 2002;
15. Preparation of 4-thia-10b-azaindeno[2,1,7-lma]fluorenes (DL-299GP)
David H. Reid and John G. Dingwall
DOI: https://doi.org/10.3998/ark.5550190.0003.315
Full Text: PDF (34K)
Export Citation: RIS
pp. 140 - 142


received Aug 30 2001; accepted Feb 24 2002; published Mar 4 2002;
16. Lipid science and lipid commerce (DL-228GP)
Frank Gunstone
DOI: https://doi.org/10.3998/ark.5550190.0003.316
Full Text: PDF (41K)
Export Citation: RIS
pp. 143 - 148


received May 30 2001; accepted Feb 27 2002; published Mar 7 2002;
17. Synthesis of a protected 2-ethoxy-3-hydroxyethylfuran and its regioselectivity as a Diels–Alder diene on reaction with 3,5-dimethoxydehydrobenzene (DL-267GP)
Robin G.F. Giles and C. Peter Taylor
DOI: https://doi.org/10.3998/ark.5550190.0003.317
Full Text: PDF (99K)
Export Citation: RIS
pp. 149 - 165


received Jul 13 2001; accepted Feb 28 2002; published Mar 8 2002;
18. Condensation of 2-hydroxy-2'-aminoacetophenone to form a dihydropyrazine (DL-278GP)
Anthony R. Butler and Elaine H. Brown
DOI: https://doi.org/10.3998/ark.5550190.0003.318
Full Text: PDF (129K)
Export Citation: RIS
pp. 166 - 171


received Jul 31 2001; published Mar 8 2002;
19. Phosphonium tosylates as solvents for the Diels–Alder reaction with 1,3–cyclopentadiene (DL-287GP)
Petra Ludley and Nazira Karodia
DOI: https://doi.org/10.3998/ark.5550190.0003.319
Full Text: PDF (36K)
Export Citation: RIS
pp. 172 - 175


received Aug 14 2001; published Mar 27 2002;
20. Asymmetric synthesis of azidotetrahydropyranols via Sharpless epoxidation (DL-279GP)
Quyen Ong, Sheetal Handa, Antonio Mete, Alison M. Hill and Keith Jones
DOI: https://doi.org/10.3998/ark.5550190.0003.320
Full Text: PDF (162K)
Export Citation: RIS
pp. 176 - 187


received Jul 31 2001; accepted Mar 20 2002; published Mar 28 2002;
21. Synthesis and a study of the 13C NMR spectroscopic properties of positional isomers of some C18 acetylenic thia fatty esters (DL-288GP)
Marcel S.F. Lie Ken Jie, Oladapo Bakare and Maureen M.L. Lau
DOI: https://doi.org/10.3998/ark.5550190.0003.321
Full Text: PDF (74K)
Export Citation: RIS
pp. 188 - 197


received Aug 14 2001; accepted Jun 21 2002; published Jun 29 2002;
22. Sonoelectrochemistry – the application of ultrasound to electrochemical systems (DL-342GR)
David J. Walton
DOI: https://doi.org/10.3998/ark.5550190.0003.322
Full Text: PDF (658K)
Export Citation: RIS
pp. 198 - 218


received Nov 22 2001; accepted Jun 21 2002; published Jun 29 2002;


CLOCKSS system has permission to ingest, preserve, and serve this Archival Unit
LOCKSS system has permission to collect, preserve, and serve this Archival Unit

Let's Encrypt Trusted Site Seal