2020-08-28
HOME
BROWSE
ARKIVOC
ABOUT
ARKIVOC
SEARCH
ARKIVOC
CONFERENCES
FLOHET/OTHERS
MONTHLY
NEWSLETTER
DONATE
Browse ARKIVOC
Submit Your Paper
Instructions:
Papers, Accounts, Reviews
Templates:
Papers
Accounts, Reviews
Commemorative Issues:
Aims and Procedures
Regional Issues:
Aims and Procedures
We thank OAKWOOD CHEMICAL for their generous support of Arkivoc and the FloHet Conferences

BROWSE ARKIVOC


ARKIVOC Volume 2001
Part (vi): Commemorative Issue in Honor of Prof. Rudolph A. Abramovitch on the occasion of his 70th anniversary
Facilitator: Dev P. Arya
Scientific Editor: Eric Scriven

Graphical Abstracts PDF (583K)
1. A Tribute to Prof. Rudolph Abramovitch (RA-1412RT)
None provided.
DOI: https://doi.org/10.3998/ark.5550190.0002.601
Full Text: PDF (122K)
Export Citation: RIS
pp. 1 - 15
published Dec 11 2005;
2. Synthesis of oligodeoxynucleotides bearing structurally defined adducts of mutagens (RA-217RP)
Thomas M. Harris and Constance M. Harris
DOI: https://doi.org/10.3998/ark.5550190.0002.602
Full Text: PDF (457K)
Export Citation: RIS
pp. 16 - 29


received May 8 2001; accepted Aug 7 2001; published Aug 15 2001;
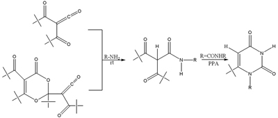
3. Reactions of dipivaloylketene and its dimer with NH2–nucleophiles. Formation of amides, hydrazides, ureides and pyrimidine-2,4-diones (RA-222RP)
Gert Kollenz, C.Oliver Kappe, Turkaram S.Dalvi and Curt Wentrup
DOI: https://doi.org/10.3998/ark.5550190.0002.603
Full Text: PDF (467K)
Export Citation: RIS
pp. 30 - 41


received May 14 2001; accepted Sep 3 2001; published Sep 11 2001;
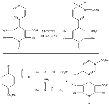
4. Design and syntheses of 4-[3-(1-methoxycarbonyl-1,6-dihydropyridyl)]- and 4-[3-(1-methoxycarbonyl-4-substituted-1,4-dihydropyridyl)]- derivatives of alkyl 1,4-dihydro-2,6-dimethyl-3-nitro-5-pyridine-carboxylates with calcium channel modulating activities (RA-212RP)
Mohsen Amini, Carol-Anne McEwen and Edward E. Knaus
DOI: https://doi.org/10.3998/ark.5550190.0002.604
Full Text: PDF (180K)
Export Citation: RIS
pp. 42 - 62


received Apr 6 2001; accepted Sep 18 2001; published Sep 26 2001;
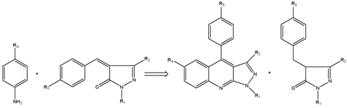
5. The synthesis of 4-aryl-1H-pyrazolo[3,4-b]quino­lines by cyclization of 4-arylidenepyrazolin-5-ones with anilines (RA-250RP)
Karen Chaczatrian, Gohar Chaczatrian, Andrzej Danel and Piotr Tomasik
DOI: https://doi.org/10.3998/ark.5550190.0002.605
Full Text: PDF (156K)
Export Citation: RIS
pp. 63 - 69


received Jun 28 2001; accepted Sep 24 2001; published Oct 2 2001;
6. Diastereoselective Diels-Alder reactions. The role of the catalyst (RA-191RP)
Yifang Huang, Philip E. Sonnet and David R. Dalton
DOI: https://doi.org/10.3998/ark.5550190.0002.606
Full Text: PDF (166K)
Export Citation: RIS
pp. 70 - 76


received Mar 30 2001; accepted Sep 27 2001; published Oct 5 2001;
7. Chemistry and applications of benzonaphthyridines (RA-199RP)
Barbara Bachowska and Teresa Zujewska
DOI: https://doi.org/10.3998/ark.5550190.0002.607
Full Text: PDF (585K)
Export Citation: RIS
pp. 77 - 84


received Apr 12 2001; accepted Oct 1 2001; published Oct 9 2001;
8. Bioreduction of α-methyleneketones (RA-209RP)
Moacir de Mancilha, Roseli De Conti, Paulo J. S. Moran and J. Augusto R. Rodrigues
DOI: https://doi.org/10.3998/ark.5550190.0002.608
Full Text: PDF (198K)
Export Citation: RIS
pp. 85 - 93


received May 1 2001; accepted Oct 9 2001; published Oct 17 2001;
9. 1,3-Dichloropropenes – in the preparation of thiazole derivatives – 2-chloro-5-chloromethylthiazole and 5-hydroxymethylthiazole (RA-241RP)
Gregory F. Hillstrom, Michelle A. Hockman, Ramiah Murugan, Eric F.V. Scriven, James R. Stout, Jason Yang
DOI: https://doi.org/10.3998/ark.5550190.0002.609
Full Text: PDF (220K)
Export Citation: RIS
pp. 94 - 99


received Jun 21 2001; accepted Oct 11 2001; published Oct 19 2001;
10. Synthesis of coumarin sulfonamides and sulfonylurea (RA-216RP)
Martin Kovác, Andrea Sabatié, L`ubomír Floch
DOI: https://doi.org/10.3998/ark.5550190.0002.610
Full Text: PDF (276K)
Export Citation: RIS
pp. 100 - 108


received May 8 2001; accepted Oct 15 2001; published Oct 23 2001;
11. Microwave-assisted generation of carbazolyl nitrenium cation (RA-213RP)
Dariusz Bogdal
DOI: https://doi.org/10.3998/ark.5550190.0002.611
Full Text: PDF (185K)
Export Citation: RIS
pp. 109 - 115


received May 2 2001; accepted Oct 15 2001; published Oct 23 2001;
12. Synthesis and evaluation of 3-substituted-4-oxa-1-azabicyclo[3,2,0]heptan-7-ones as cysteine proteases inhibitors: part II (RA-220RP)
Nian E. Zhou, Andhe V. N. Reddy, Jadwiga Kaleta, Ronald G. Micetich and Rajeshwar Singh
DOI: https://doi.org/10.3998/ark.5550190.0002.612
Full Text: PDF (228K)
Export Citation: RIS
pp. 116 - 121


received May 8 2001; accepted Oct 23 2001; published Oct 31 2001;
13. Synthesis of aromatic and heteroaromatic annelated [1,4]diazepines (RA-211RP)
Andrea Sabatié, Daniel Végh, André Loupy and L`ubomír Floch
DOI: https://doi.org/10.3998/ark.5550190.0002.613
Full Text: PDF (261K)
Export Citation: RIS
pp. 122 - 128


received Apr 24 2001; accepted Nov 6 2001; published Nov 14 2001;
14. On the preparation of 1-aryl-2-heteroaryl- and 2-aryl-1-heteroaryl-pyrroles as useful building blocks for biologically interesting heterocycles (RA-356RP)
Anna Maria Almerico, Alessandra Montalbano, Patrizia Diana, Paola Barraja, Antonino Lauria, Girolamo Cirrincione and Gaetano Dattolo
DOI: https://doi.org/10.3998/ark.5550190.0002.614
Full Text: PDF (293K)
Export Citation: RIS
pp. 129 - 142


received Jan 18 2002; accepted Jan 29 2002; published Feb 6 2002;


CLOCKSS system has permission to ingest, preserve, and serve this Archival Unit
LOCKSS system has permission to collect, preserve, and serve this Archival Unit

Let's Encrypt Trusted Site Seal