2020-08-28
HOME
BROWSE
ARKIVOC
ABOUT
ARKIVOC
SEARCH
ARKIVOC
CONFERENCES
FLOHET/OTHERS
MONTHLY
NEWSLETTER
DONATE
Browse ARKIVOC
Submit Your Paper
Instructions:
Papers, Accounts, Reviews
Templates:
Papers
Accounts, Reviews
Commemorative Issues:
Aims and Procedures
Regional Issues:
Aims and Procedures
We thank OAKWOOD CHEMICAL for their generous support of Arkivoc and the FloHet Conferences

BROWSE ARKIVOC


ARKIVOC Volume 2001
Part (iv): Commemorative Issue in Honor of Prof. Alfred Hassner on the occasion of his 70th Anniversary
Facilitator: John A. Soderquist
Scientific Editor: Paul Krapcho

Graphical Abstracts PDF (483K)
1. A Tribute to Prof. Alfred Hassner (AH-452CT)
John A. Soderquist
DOI: https://doi.org/10.3998/ark.5550190.0002.401
Full Text: PDF (47K)
Export Citation: RIS
pp. 1 - 4
accepted Nov 20 2001; published Jun 26 2005;
2. Rapid microwave-enhanced, solventless desilylation on potassium fluoride doped alumina (AH-176CP)
George W. Kabalka, Lei Wang and Richard M. Pagni
DOI: https://doi.org/10.3998/ark.5550190.0002.402
Full Text: PDF (100K)
Export Citation: RIS
pp. 5 - 11


received Mar 9 2001; accepted Sep 20 2001; published Sep 28 2001;
3. Esters from carbofunctionalized organostannanes via Stille coupling (AH-169CP)
John A. Soderquist, Izander Rosado, Yernan Marrero and Carlos Burgos
DOI: https://doi.org/10.3998/ark.5550190.0002.403
Full Text: PDF (114K)
Export Citation: RIS
pp. 12 - 19


received Feb 28 2001; accepted Sep 20 2001; published Sep 28 2001;
4. The synthesis of 2,3,5-trisubstituted phenols (AH-158CP)
Alan R. Katritzky, Yu Ji, Dmytro O. Tymoshenko, Yunfeng Fang and Keisha-Gay Hylton
DOI: https://doi.org/10.3998/ark.5550190.0002.404
Full Text: PDF (125K)
Export Citation: RIS
pp. 20 - 28


received Jan 18 2001; accepted Oct 28 2001; published Nov 5 2001;
5. A novel synthesis of polysubstituted phenols using the SNAr reaction of 2,5-dinitrofuran (AH-162CP)
Albert Padwa and Alex G. Waterson
DOI: https://doi.org/10.3998/ark.5550190.0002.405
Full Text: PDF (175K)
Export Citation: RIS
pp. 29 - 42


received Feb 6 2001; accepted Oct 15 2001; published Oct 23 2001;
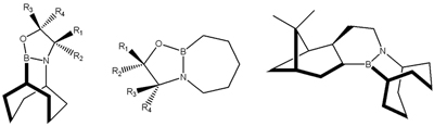
6. Oxazaborolidines from boracycles through the intramolecular azide insertion (AH-237CP)
Jorge Ramos and John A. Soderquist
DOI: https://doi.org/10.3998/ark.5550190.0002.406
Full Text: PDF (179K)
Export Citation: RIS
pp. 43 - 58


received Jun 11 2001; accepted Oct 7 2001; published Oct 15 2001;
7. Aminoborohydrides. 13. Facile reduction of N-alkyl lactams with 9-borabicyclo[3.3.1]nonane (9-BBN) and lithium aminoborohydrides (LAB) reagents (AH-179CP)
Christopher J. Collins and Bakthan Singaram
DOI: https://doi.org/10.3998/ark.5550190.0002.407
Full Text: PDF (190K)
Export Citation: RIS
pp. 59 - 75


received Mar 16 2001; accepted Oct 15 2001; published Oct 23 2001;


CLOCKSS system has permission to ingest, preserve, and serve this Archival Unit
LOCKSS system has permission to collect, preserve, and serve this Archival Unit

Let's Encrypt Trusted Site Seal