2020-08-28
HOME
BROWSE
ARKIVOC
ABOUT
ARKIVOC
SEARCH
ARKIVOC
CONFERENCES
FLOHET/OTHERS
MONTHLY
NEWSLETTER
DONATE
Recent Arkivoc Publications
Accepted Manuscripts
Iodine(III)-Mediated Oxidative Halogenation and Catalytic Nitration Using Simple Aluminum Salts. The Full Account (HI-12478ZU)
César R. Solorio-Alvarado, José A. Millán-Cortés, Kevin Mondragón-Juárez, Ruben Chávez-Rivera, Melissa Tapia-Juárez, José V. Negrete-Díaz, Jaime G. Ibarra-Gutiérrez, Luis A. Segura-Quezada and Rafael Ortíz-Alvarado
DOI: https://doi.org/10.24820/ark.5550190.p012.478
Full Text: PDF (3,599K)

received Oct 8 2025; accepted Mar 6 2026;
SeO2 mediated the Ritter Reaction of aryl methyl ketones catalyzed by boron tri?uoride etherate at Room Temperature (26-12482IP)
Mugada Sugunakara Rao, Maheswara Rao Addepalli, Majji Pavani and K. Koteswara Rao
DOI: https://doi.org/10.24820/ark.5550190.p012.482
Full Text: PDF (768K)

received Oct 17 2025; accepted Feb 25 2026;
Terpenoid Metabolites of the Australian Nudibranch Goniobranchus coi (Risbec, 1956) (FC-12535MP)
Mary J. Garson and Louise C. Forster
DOI: https://doi.org/10.24820/ark.5550190.p012.535
Full Text: PDF (914K)

received Jan 2 2026; accepted Feb 16 2026;
Benzimidazolinone synthesis through hypervalent iodine-mediated cycloaddition between aryl isocyanates and hydroxylamines (HI-12520ZP)
Toshifumi Dohi
DOI: https://doi.org/10.24820/ark.5550190.p012.520
Full Text: PDF (705K)

received Dec 8 2025; accepted Feb 16 2026;
New phosphoramidites of RNA cleaving trisbenzimidazole catalysts: improved compatibility with oligonucleotide solid phase synthesis (HS-12499FP)
MDennis Krug, Konstantinos Chionis, Jonka Tepe, Karyna Stoliarchuk, Janina Möckel, Karin Göbel and Michael W. Göbel
DOI: https://doi.org/10.24820/ark.5550190.p012.499
Full Text: PDF (1,334K)

received Nov 21 2025; accepted Feb 16 2026;
Harnessing the oxidative potential of Iodobenzene diacetate in unlocking Azacyclic diversity (C3–C6 Rings) (HI-12543ZR)
Rashmi Pundeer, Vishwas Chaudhri, Raman Lakhia and Sushma
DOI: https://doi.org/10.24820/ark.5550190.p012.543
Full Text: PDF (1,762K)

received Jan 16 2026; accepted Feb 15 2026;
Structural perspectives on linkers enabling cell-specific antibody-mediated targeted protein degradation (HS-12516FR)
Marius Wits, Felix Blüm and Peter ten Dijke
DOI: https://doi.org/10.24820/ark.5550190.p012.516
Full Text: PDF (1,066K)

received Dec 2 2025; accepted Feb 14 2026;
Design, synthesis, and antimicrobial evaluation of newly developed pyridine and pyrimidine derivatives derived from enaminones (26-12523HP)
Ahmed Abdou O. Abeed, Mohamed R. Fouad, Mohamed S. A. El-Gaby, Sarra Rafrafi, Heba Alsharif, Tarek H. Afifi and Mohey Eldin Hassan Shikhoun
DOI: https://doi.org/10.24820/ark.5550190.p012.523
Full Text: PDF (912K)

received Dec 12 2025; accepted Feb 1 2026;


Recently Published Manuscripts
Green synthesis of 1,4-dihydropyridine using MIL-101 (Cr) MOF as catalyst (25-12437OP)
Kannan Ayyavoo and Durgadevi Sivanandham
DOI: https://doi.org/10.24820/ark.5550190.p012.437
Full Text: PDF (771K)
Supplementary Material: PDF (375K)
Export Citation: RIS
Arkivoc 2025 (5) 202512437

received Jul 7 2025; accepted Sep 14 2025; published Sep 26 2026;
The expanding landscape of metal–amino acid complexes in modern bioinspired catalysis (26-12508LR)
Ramkrishna Mandal
DOI: https://doi.org/10.24820/ark.5550190.p012.508
Full Text: PDF (1,662K)
Export Citation: RIS
Arkivoc 2026 (1) 202512508

received Nov 26 2025; accepted Feb 16 2026; published Mar 14 2026;
Preparation, structure, and reactivity of ortho-hydroxy-substituted aryliodonium salts, precursors to ortho-iodo-substituted diaryl ethers (HI-12556ZP)
Mekhman S. Yusubov, Akira Yoshimura, Alexander V. Lyulyaev, Irina A. Mironova, Matvey K. Shurikov, Gregory T. Rohde, Akio Saito and Viktor V. Zhdankin
DOI: https://doi.org/10.24820/ark.5550190.p012.556
Full Text: PDF (802K)
Supplementary Material: PDF (4,734K)
Export Citation: RIS
Arkivoc 2025 (4) 202612556

received Feb 6 2026; accepted Feb 15 2026; published Mar 8 2026;
Defluorination of gem-difluoromethyl(ene) compounds with calcium salts (FC-12501QP)
Marcos Escolano, Zijun Chen, Julia Ragus, Aleksy Kwiatkowski, Carlos del Pozo and Véronique Gouverneur
DOI: https://doi.org/10.24820/ark.5550190.p012.501
Full Text: PDF (735K)
Supplementary Material: PDF (972K)
Export Citation: RIS
Arkivoc 2026 (2) 202512501

received Nov 21 2025; accepted Feb 3 2026; published Feb 17 2026;
Regioselective photochemical [2+2]-cycloadditions of chromenones to substituted alkynes (HS-12486FP)
Uwe Nickel, Franz-Peter Montforts and Emanuel Hupf
DOI: https://doi.org/10.24820/ark.5550190.p012.486
Full Text: PDF (726K)
Supplementary Material: PDF (2,383K)
Export Citation: RIS
Arkivoc 2025 (3) 202512486

received Oct 30 2025; accepted Feb 6 2026; published Feb 17 2026;
A ring-closing metathesis-oxidation approach for the synthesis of seven-membered ring analogues of purpurogallin (HS-12506FP)
Dharmendra B. Yadav, Sebastian A. Olsson, Manuel A. Fernandes, Ivan R. Green, Charles B. de Koning and Willem A. L. van Otterlo
DOI: https://doi.org/10.24820/ark.5550190.p012.506
Full Text: PDF (968K)
Supplementary Material: PDF (6,916K)
Export Citation: RIS
Arkivoc 2025 (3) 202512506

received Nov 25 2025; accepted Jan 31 2026; published Feb 8 2026;
Synthetic strategies for dihydrochalcones (HS-12491FR)
Mamoalosi A. Selepe, Lorraine T. Madibana, Siyanda T. Mthembu and Molahlehi S. Sonopo
DOI: https://doi.org/10.24820/ark.5550190.p012.491
Full Text: PDF (1,200K)
Export Citation: RIS
Arkivoc 2025 (3) 202512491

received Nov 12 2025; accepted Jan 31 2026; published Feb 5 2026;
A practical and mild Peterson olefination protocol mediated by CuCl2٠2H2O (FC-12504MP)
Qin Han Teo and Pauline Chiu
DOI: https://doi.org/10.24820/ark.5550190.p012.504
Full Text: PDF (764K)
Supplementary Material: PDF (5,123K)
Export Citation: RIS
Arkivoc 2026 (2) 202512504

received Nov 23 2025; accepted Jan 13 2026; published Feb 3 2026;
Practical method for the synthesis of β-[(trimethylsilyl)ethynyl]-λ3-iodane (HI-12493ZP)
Kaede Watanabe, Koki Kawashima, Kazuki Kobayashi, Mutsumi Kimura, Masanobu Uchiyama and Kazunori Miyamoto
DOI: https://doi.org/10.24820/ark.5550190.p012.493
Full Text: PDF (823K)
Supplementary Material: PDF (1,314K)
Export Citation: RIS
Arkivoc 2025 (4) 202512493

received Nov 14 2025; accepted Jan 6 2026; published Jan 23 2026;
Alkyne-functionalized phosphorus dendrimers and dendrons: Syntheses and properties (FC-12526MU)
Valérie Maraval, Cédric-Olivier Turrin and Anne-Marie Caminade
DOI: https://doi.org/10.24820/ark.5550190.p012.526
Full Text: PDF (3,130K)
Export Citation: RIS
Arkivoc 2026 (2) 202512526

received Dec 16 2025; accepted Jan 12 2026; published Jan 21 2026;
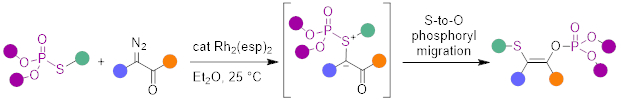
S-to-O phosphoryl migration in the rhodium-catalyzed reaction of phosphorothioates with α-diazocarbonyl compounds: an access to tetrasubstituted enol phosphates (FC-12522MP)
Laurine Tual, Romain Pertschi, Gaëlle Blond and Mihaela Gulea
DOI: https://doi.org/10.24820/ark.5550190.p012.522
Full Text: PDF (805K)
Supplementary Material: PDF (3,157K)
Export Citation: RIS
Arkivoc 2026 (2) 202512522

received Dec 11 2025; accepted Jan 8 2026; published Jan 21 2026;
Synthetic strategies of benzofuro[3,2-d]pyrimidine derivatives and biological importance (26-12505LR)
Abdel-Rahman Farghaly, Naser Amri and Saleh A. Ahmed
DOI: https://doi.org/10.24820/ark.5550190.p012.505
Full Text: PDF (2,247K)
Export Citation: RIS
Arkivoc 2026 (1) 202512505

received Nov 25 2025; accepted Jan 12 2026; published Jan 19 2026;
Let's Encrypt Trusted Site Seal